Ilmanlaatu pääkaupunkiseudulla vuonna 2019

Vuosiraportti

Tiedot

Julkaisija:
Helsingin seudun ympäristöpalvelut -kuntayhtymä
Tekijät: Saija Korhonen, Kati Loukkola ja Harri Portin
Päivämäärä:
12.5.2020
Julkaisun nimi:
Ilmanlaatu pääkaupunkiseudulla vuonna 2019 - Vuosiraportti
Sarjan nimi ja numero:
HSY:n julkaisuja 2/2020
ISSN-L: 1798-6087
ISBN (pdf): 978-952-7146-49-1
ISBN (html): 978-952-7146-50-7
ISSN (verkkojulkaisu): 1798-6095
Kieli: fi
Sivuja: 18
Yhteystiedot:
Helsingin seudun ympäristöpalvelut -kuntayhtymä
PL 100
00066 HSY
Ilmalantori 1, 00240 Helsinki
puhelin 09 156 11
faksi 09 1561 2011
www.hsy.fi
Copyright:
Kartat: copyright merkinnät karttojen yhteydessä
Graafit ja muut kuvat: HSY
Kansikuva: HSY / Nelli Kaski
Kuvituskuvat: HSY

Tiivistelmä

Kokonaisuudessaan vuosi 2019 oli ilmanlaadultaan hyvä. Ilmanlaatu luokiteltiin hyväksi tai tyydyttäväksi yli 90 % ajasta kaikilla mittausasemilla. Huonon ja erittäin huonon ilmanlaadun tunteja oli eniten pääväylän lähistöllä Friisilässä, 2 % vuoden tunneista. Huonot ja erittäin huonot ilmanlaadun tunnit aiheutuivat pääosin hengitettävistä hiukkasista eli katupölystä. Vilkasliikenteisellä Mäkelänkadulla myös korkeat typpidioksidin pitoisuudet huononsivat ilmanlaatua. Pientaloalueella Vartiokylässä ja tausta-asemalla Luukissa huonot tunnit aiheutuivat lähinnä otsonista.

Pienhiukkasten, hengitettävien hiukkasten sekä typpidioksidin pitoisuudet olivat edellisvuotta matalammat. Myös muiden ilmansaasteiden pitoisuudet laskivat.

Hengitettävien hiukkasten vuosi- tai vuorokausiraja-arvo ei ylittynyt millään mittausasemalla. Vuosikeskiarvot olivat kaikilla pysyvillä mittausasemilla edellisvuotta matalammat. Vuositasolla raja-arvo tai WHO:n ohjearvo ei ylittynyt. Vuorokausitasolla hiukkaspitoisuudet olivat korkeita ja raja-arvotaso (50 µg/m3) ylittyi enimmillään 22 päivänä liikenneympäristöissä (sallittu 35 kpl/v). WHO:n ohjearvo sen sijaan ylittyi liikenneympäristöissä (sallittu 3 kpl/v). Vuorokausipitoisuuden kansallinen ohjearvo (70 µg/m3) ylittyi maaliskuussa Friisilässä ja huhtikuussa Mannerheimintiellä, Leppävaarassa, Talvikkitiellä ja Friisilässä sekä lisäksi marraskuussa vielä Mäkelänkadulla. Kevään katupölykausi oli edellisvuotta hieman helpompi.

Pienhiukkasten pitoisuudet olivat edellisvuotta matalammat. Pitoisuudet olivat selvästi alle EU:n raja-arvon 25 µg/m³ sekä myös WHO:n ohjearvon 10 µg/m³. Muutamana vuorokautena ylittyi WHO:n ohjearvotaso 25 µg/m³ (sallittu 3 kpl/v) Tikkurilassa Talvikkitiellä ja Neilikkatiellä sekä Friisilässä, joten WHO:n vuorokausiohjearvo ei ylittynyt.

Typpidioksidin vuosiraja-arvo 40 µg/m3 ei ylittynyt millään HSY:n ilmanlaadun mittausasemalla. Vuosikeskiarvot olivat edellisvuotta matalammat Mannerheimintiellä, Kalliossa, Vartiokylässä, Leppävaarassa, Tikkurilassa, Luukissa ja Mäkelänkadulla. Pitoisuudet olivat korkeita tuntitasolla tammikuun 22. päivänä, jolloin liikenteen pakokaasuista peräisin olevan typpidioksidin määrä ylitti raja-arvotason (200 µg/m3, saa ylittyä 18 tuntia vuodessa) kahden tunnin ajan Mäkelänkadulla. Samana päivä myös tuntiohjearvo (150 µg/m3) ylittyi Mäkelänkadulla. Typpidioksidin vuorokausiohjearvo (70 µg/m3, 2. korkein vrk-pitoisuus) ei ylittynyt millään mittausasemalla. Typpidioksidipitoisuuksia kartoitettiin lisäksi passiivikeräimillä noin 40 kohteessa. Typpidioksidin vuosipitoisuus ei ylittänyt raja-arvoa myöskään tällä suuntaa-antavalla menetelmällä. HSY arvioi, että Helsingissä on noin 0,2 km katuosuuksia, joilla typpidioksidin raja-arvon arvioidaan ylittyvän ja 5,5 km katuosuuksia, joilla raja-arvo on vaarassa ylittyä.

Otsonin pitoisuudet olivat samaa tasoa kuin vuonna 2018. Otsonin terveysperusteinen tavoitearvo ei ylittynyt, mutta pitkän ajan tavoitearvo ylittyi Luukissa kaksi kertaa ja Vartiokylässä kerran. Kasvillisuuden suojelemiseksi annettu tavoitearvo ja pitkän aikavälin tavoite eivät ylittyneet.

Bentso(a)pyreenin vuosipitoisuudet pysyivät tavoitearvon (1 ng/m³) alapuolella. Korkeimmat vuosikeskiarvot mitattiin pientaloalueilla Pirkkolassa ja Paloheinässä (0,5 ng/m³). Pientaloalueilla puun poltto on merkittävä bentso(a)pyreenin päästölähde.

Rikkidioksidin pitoisuudet olivat matalat ja selvästi raja- ja ohjearvojen alapuolella.

Pääkaupunkiseudulla ilmansaasteiden merkittävimmät päästölähteet ovat autoliikenne, puunpoltto tulisijoissa ja energiantuotanto. Lähellä hengityskorkeutta vapautuvat päästöt ja erityisesti katupöly vaikuttavat eniten ilmanlaatuun.

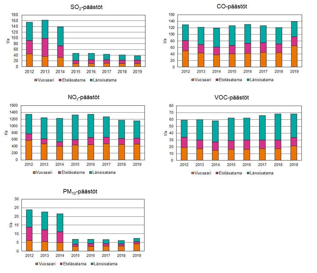
Vuonna 2019 rikkidioksidipäästöt olivat pääosin peräisin energiantuotannosta. Typenoksidipäästöistä lähes puolet tuli energiantuotannosta ja lähes kolmasosa tieliikenteestä. Hiukkaspäästöistä tieliikenteen pakokaasujen osuus oli hiukan alle neljäsosa, mutta liikenne nostattaa lisäksi katujen pinnoilta eri kokoisia hiukkasia katupölynä ilmaan. Energiantuotanto aiheutti hiukkaspäästöistä kolmasosan. Kaikkiaan yhteenlaskettujen päästöjen arvioidaan pääkaupunkiseudulla vähentyneen hieman edellisvuoteen verrattuna.

Sammandrag

Som helhet var året 2019 från luftkvalitetssynpunkt ett ganska gott år. Luftkvaliteten klassificerades som god eller tillfredsställande under mer än 90 % av tiden vid alla mätstationer. I närheten av huvudleden i Frisans räknades flest timmar med dålig eller mycket dålig luftkvalitet, 2 % av årets timmar. Orsaken till timmarna med dålig eller mycket dålig luftkvalitet var huvudsakligen inandningsbara partiklar, dvs. gatudamm. På den rikligt trafikerade Backasgatan försämrade också höga kvävedioxidhalter luftkvaliteten. På småhusområdet i Botby och bakgrundsstationen i Luk orsakades de dåliga timmarna främst av ozon.

Finpartiklarna, de inandningsbara partiklarna och kvävedioxidhalterna var lägre än under det föregående året. Även de övriga luftföroreningshalterna sjönk.

Års- eller dygnsgränsvärdena för inandningsbara partiklar överskreds inte på någon av mätstationerna. Årsmedelvärdena var lägre än under det föregående året på alla permanenta mätstationer. På årsnivå överskreds varken gränsvärdet eller WHO:s riktvärde. Partikelhalterna på dygnsnivå var höga och gränsvärdesnivån (50 µg/m3) överskreds högst under 22 dagar i trafikmiljöerna (tillåtet 35 st./år). WHO:s riktvärde däremot överskreds i trafikmiljöerna (tillåtet 3 st./år). Det nationella riktvärdet för dygnshalten (70 µg/m3) överskreds i mars i Frisans och i april på Mannerheimvägen, i Alberga, på Pyrolavägen och Frisans samt dessutom i november ytterligare på Backasgatan. Vårens gatudammsäsong var lite lindrigare än året innan.

Halten av finpartiklar var lägre än året innan. Halterna var klart under EU:s gränsvärde 25 µg/m³ samt även under WHO:s riktvärde 10 µg/m³. Under några dygn överskreds nivån för WHO:s riktvärde 25 µg/m³ (tillåtet 3 st./år) på Pyrolavägen och Nejlikvägen i Dickursby samt i Frisans, men WHO:s dygnsriktvärde överskreds inte.

Årsgränsvärdet för kvävedioxid 40 µg/m³ överskreds inte på någon av HRM:s mätstationer för luftkvaliteten. Årsmedelvärdena var lägre än året innan på Mannerheimvägen och Backasgatan samt i Berghäll, Botby, Alberga, Dickursby och Luk. Halterna på timnivå var höga den 22 januari, då kvävedioxidmängden från avgaserna från trafiken på Backasgatan överskred gränsvärdenivån (200 µg/m3, får överskridas 18 timmar per år) under två timmar. Samma dag överskreds även timsriktvärdet (150 µg/m3) på Backasgatan. Dygnsriktvärdet för kvävedioxid (70 µg/m3, näst högsta dygnshalt) överskreds inte på någon mätstation. Kvävedioxidhalterna kartlades dessutom med passivinsamlingsmetod på cirka 40 ställen. Årshalten för kvävedioxid överskred inte heller gränsvärdet med denna riktgivande metod. HRM bedömer att det finns cirka 0,2 km gatupartier i Helsingfors där gränsvärdet för kvävedioxid överskrids och 5,5 km gatupartier där gränsvärdet riskerar att överskridas.

Ozonhalterna var på samma nivå som år 2018. Det hälsobaserade målvärdet för ozon överskreds inte, men det långsiktiga målvärdet överskreds två gånger i Luk och en gång i Botby. Målvärdet och det långsiktiga målet som satts för skydd av växtligheten överskreds inte.

Årshalterna för benso(a)pyren förblev under målvärdet (1 ng/m3). De högsta årsmedelvärdena uppmättes på småhusområdena i Britas och Svedängen (0,5 ng/m3). På småhusområdena är vedeldning en betydande utsläppskälla för benso(a)pyren.

Svaveldioxidhalterna var låga och klart under gräns- och riktvärdena.

I huvudstadsregionen är biltrafiken, vedeldningen i eldstäder och energiproduktionen de väsentligaste utsläppskällorna för luftföroreningar. Utsläpp som frigörs i närheten av andningshöjden och särskilt gatudamm inverkar mest på luftkvaliteten.

År 2019 härstammade svaveldioxidutsläppen huvudsakligen från energiproduktionen. Av kväveoxidutsläppen kom nästan hälften från energiproduktionen och nästan en tredjedel från vägtrafiken. Avgaserna från vägtrafiken stod för knappt en fjärdedel av partikelutsläppen, men trafiken river dessutom loss partiklar i varierande storlek från gatornas yta som bildar gatudamm i luften. Energiproduktionen orsakade en tredjedel av partikelutsläppen. Sammanlagt bedöms de sammanräknade utsläppen inom huvudstadsregionen ha minskat något jämfört med föregående år.

Abstract

Overall, 2019 was a good year in terms of air quality. Air quality was rated as good or satisfactory over 90% of the time at every monitoring site. The number of hours with poor or very poor air quality was highest near the main road in Friisilä for 2% of the hours of the year. Most of the hours with poor or very poor air quality were caused by thoracic particles, that is, street dust. On Mäkelänkatu, a street with heavy traffic, high concentrations of nitrogen dioxide also impaired the air quality. In Vartiokylä, an area of detached homes, and at the background monitoring station in Luukki, the hours of poor air quality were mostly due to ozone.

The concentrations of fine particles, thoracic particles and nitrogen dioxide were lower than in the previous year. The concentrations of other air pollutants also decreased.

The annual or 24-hour limit value for thoracic particles was not exceeded at any monitoring site. The annual mean values were lower than in the previous year at all of the permanent monitoring sites. On an annual scale, neither the limit value nor the WHO guideline value was surpassed. On a 24-hour scale, the particle concentrations were high, and the limit value (50 µg/m3) was exceeded on a maximum of 22 days in traffic environments (permitted 35 times per year). However, the WHO guideline value was exceeded in traffic environments (permitted 3 times per year). The national 24-hour guideline value for concentrations (70 µg/m3) was exceeded in March in Friisilä, in April on Mannerheimintie, in Leppävaara, in Talvikkitie and in Friisilä, and in November on Mäkelänkatu. The spring street dust season was slightly milder than in the previous year.

The concentrations of fine particles were lower than in the previous year. The concentrations were well below the EU limit value of 25 µg/m3 and also the WHO guideline value of 10 µg/m3. On a few days, the WHO guideline value level of 25 µg/m3 was surpassed (permitted 3 times per year) on Talvikkitie and Neilikkatie in Tikkurila and in Friisilä, but the WHO 24-hour guideline value was not exceeded.

The annual limit value for nitrogen dioxide of 40 μg/m3 was not exceeded at any of HSY’s air quality monitoring sites. The annual mean values were lower than in the previous year on Mannerheimintie and Mäkelänkatu and in Kallio, Vartiokylä, Leppävaara, Tikkurila and Luukki. The concentrations were high on an hourly level on 22 January, when the concentration of nitrogen dioxide from exhaust gases exceeded the limit value level (200 µg/m3, which may be surpassed for 18 hours per year) for two hours on Mäkelänkatu. On the same day, the hourly guideline value (150 µg/m3) was also exceeded on Mäkelänkatu. The 24-hour guideline value for nitrogen dioxide concentrations (70 µg/m3, second-highest daily concentration) was not surpassed at any monitoring site. Nitrogen dioxide concentrations were also analysed using passive samplers at approximately 40 sites. The annual nitrogen dioxide concentration did not exceed the limit value, even by this approximate method. HSY estimates that there are in Helsinki approximately 0.2 km of streets where the nitrogen dioxide limit value is exceeded and 5.5 km of streets where the limit value is close to being exceeded.

Ozone concentrations were at the same level as in 2018. The health-related target value for ozone was not surpassed, but the long-term objective was surpassed twice in Luukki and once in Vartiokylä. The target value and the long-term objective set to protect vegetation were not exceeded.

The annual concentrations of benzo(a)pyrene remained below the target value (1 ng/m3). The highest annual mean values were measured in Pirkkola and Paloheinä (0.5 ng/m3), areas with detached houses. Burning wood is a major source of benzo(a)pyrene in detached house areas.

The concentrations of sulphur dioxide were low and clearly below the limit and guideline values.

In the Helsinki metropolitan area, the most significant sources of air pollution are emissions from road traffic, domestic wood burning and energy production. Emissions at breathing height, and especially street dust, have the greatest impact on air quality.

In 2019, energy production was the main source of sulphur dioxide emissions. Almost half of the emissions of nitrogen dioxide came from energy production and almost one-third from road traffic. Exhaust gases accounted for slightly less than one-quarter of particle emissions, but traffic also lifts street dust particles of different sizes into the air from street surfaces. Energy production caused one-third of particle emissions. Overall, the total emissions in the Helsinki metropolitan area are estimated to have decreased slightly compared to the previous year.

Esipuhe

HSY seuraa pääkaupunkiseudun ilmanlaatua 11 mittausasemalla. Mittausverkon alueellista kattavuutta täydennetään myös pienikokoisilla mittalaitteilla ja keräimillä. Ilmanlaatutilannetta arvioidaan lisäksi päästöselvitysten, leviämislaskelmien, bioindikaattorien ja tutkimusten avulla. Hengitysilmasta mitataan monipuolisesti kaupunki-ilman epäpuhtauksia, joille on raja- ja ohjearvoja asukkaiden terveyden suojelemiseksi. Mittaustulokset kertovat ilmanlaadusta ja sen kehityksestä erityyppisissä ympäristöissä. Ilmanlaatutilannetta ja -ennustetta voi seurata 24/7 osoitteesta .

Ilmanlaadun mittaukset pääkaupunkiseudulta kertovat, että pitoisuudet ovat laskusuunnassa. Pitkäjänteiden ilmansuojelutyö on tuottanut tulosta ja ilmansaasteille altistuminen on vähentynyt. Liikenteen pakokaasupäästöjen puhdistuminen on laskenut etenkin typpidioksidin pitoisuuksia nopeasti. Pienhiukkasten pitoisuudet ovat matalia, mutta toimenpiteitä tarvitaan edelleen, koska pienhiukkaset ovat suurin ympäristöterveysriski myös Suomessa. Katupöly heikentää ilmanlaatua sekä nastarengaskaudella että keväisin ja tulisijojen pienhiukkaspäästöjen osuus on suuri. Ilmanlaadun haasteina säilyvät vielä 2030-luvullakin katupöly ja puunpolton päästöt, joten altistumisen haittojen vähentämiseksi on ponnisteltava jatkossakin.

HSY tarjoaa ilmanlaadun mittausverkon tutkimus- ja kehitystyön alustaksi. Etenkin Mäkelänkadun supermittausasemalla on tehty viiden vuoden ajan monialaista yhteistyötä eri tutkimus- ja asiantuntijalaitosten, yliopistojen ja yritysten kanssa. Vuoden 2019 erityispiirteenä oli, että laajaa tutkimusyhteistyötä tehtiin myös Pirkkolan pientaloalueen ilmanlaatuasemalla. Mittaukset tuottavat uutta tietoa mustan hiilen ja pienhiukkasten pitoisuuksista, ominaisuuksista, lähteistä ja mittaustekniikoista sekä lisäävät ymmärrystä tulisijojen käytön päästöistä ja vaikutuksista. Mustan hiilen tutkimusmittaukset liittyvät laajaan Black Carbon Footprint -hankkeeseen, jossa kehitetään muun muassa mustan hiilen mittaamista ja vaikutusarvioita ilmanlaatu- ja ilmastonäkökulmasta ().

Monialainen EU-rahoitteinen tutkimushanke HOPE (Healthy Outdoor Premises for Everyone) on käynnissä pääkaupunkiseudulla. Hankkeessa tuotetaan uutta täsmätietoa ilmanlaadusta ja kehitetään sen innovatiivista hyödyntämistä kaupunginosa- ja asukastasolla. HSY mittaa hankkeessa ilmanlaatua keskihintaisilla sensoreilla ja lisäksi asukkaat tutkivat ilmanlaatua kannettavilla henkilökohtaisilla sensoreilla. Sensoritihentymät ovat Jätkäsaaressa ja sen lähiseudulla, Vallila-Kumpula alueella sekä Pakilassa ja sen lähiseudulla. Mittausten avulla kehitetään ilmanlaadun mallintamista. Hankkeessa etsitään ratkaisuja ilmanlaadun parantamiseen Helsingissä yhdessä asukkaiden kanssa ja kokeillaan osallistavaa budjetointia, jossa asukkaat vaikuttavat parhaimpien keinojen valintaan.

HSY kiittää lämpimästi yhteistyöstä asiantuntijoita, sidosryhmiä ja yhteistyökumppaneita, jotka ovat osallistuneet tämän raportin aineistojen tuottamiseen.

Johdanto

Merkittävimpiä ilmanlaatua heikentäviä epäpuhtauksia ovat erikokoiset hiukkaset (PM), typpidioksidi (NO2), otsoni (O3), hiilimonoksidi (CO), rikkidioksidi (SO2), haihtuvat orgaaniset yhdisteet (VOC) sekä eräät polysykliset aromaattiset hiilivedyt (PAH) kuten bentso(a)pyreeni. Näillä epäpuhtauksilla on korkeina pitoisuuksina haitallisia vaikutuksia luontoon sekä ihmisten terveyteen ja viihtyvyyteen. Siksi niiden pitoisuuksille on säädetty erilaisia enimmäispitoisuuksia koskevia normeja.

Pääkaupunkiseudulla ilmanlaatua heikentävät erityisesti katujen kulumisesta ja hiekoituksesta aiheutuvat hengitettävät hiukkaset, pakokaasupäästöt sekä päästöt tulisijojen käytöstä ja energiantuotannosta. Katupölyllä ja liikenteellä on suurin vaikutus ilmanlaatuun hengityskorkeudella. Pientaloalueilla myös puunpolton päästöt voivat heikentää ajoittain merkittävästi ilmanlaatua. Energiantuotannon päästöt sen sijaan purkautuvat korkealta ja leviävät laajalle alueelle eivätkä siksi aiheuta korkeita pitoisuuksia hengityskorkeudella. Suomeen kulkeutuu myös maan rajojen ulkopuolelta kaukokulkeumana epäpuhtauksia, erityisesti pienhiukkasia ja otsonia.

Ilmanlaatu on pääkaupunkiseudulla yleensä melko hyvä, mutta hiukkasten ja typpidioksidin pitoisuudet kohoavat ajoittain haitallisen korkeiksi etenkin vilkkaasti liikennöityjen katujen ja teiden läheisyydessä. Paikalliset päästöt näkyvät liikenne- ja pientaloalueilla, pienhiukkasten massan, lukumäärän, keuhkodeposoituvan pinta-alan ja mustan hiilen mittauksissa. Otsonipitoisuudet voivat olla ajoittain korkeita keväisin ja kesäisin, erityisesti taajamien ulkopuolella. Bentso(a)pyreenin pitoisuudet voivat ylittää tavoitearvon paikoitellen pientaloalueilla, joilla poltetaan paljon puuta. Haihtuvien orgaanisten yhdisteiden, rikkidioksidin ja hiilimonoksidin pitoisuudet ovat matalia eivätkä yleensä aiheuta ilmanlaatuongelmia pääkaupunkiseudulla.

Tässä raportissa tarkastellaan ilmanlaatua pääkaupunkiseudulla vuonna 2019. Ilmansaasteiden pitoisuuksia verrataan ilmanlaatunormeihin ja arvioidaan kehitystä viime vuosina. HSY:llä on pysyvien mittausasemien lisäksi neljä siirrettävää mittausasemaa. Mittausasemat on sijoitettu erityyppisille alueille ja kunkin alueen tulosten avulla voidaan arvioida ilmanlaatua myös muissa samankaltaisissa ympäristöissä. Siirrettävillä mittausasemilla seurataan ilmanlaatua pääkaupunkiseudun erityiskohteissa vuoden jaksoissa. Siirrettävät mittausasemat sijaitsivat vuonna 2019 Helsingissä Pirkkolan pientaloalueella ja Länsisatamassa, Espoossa Länsiväylän varrella Friisilässä ja Vantaalla Talvikkitiellä vilkasliikenteisen kadun varrella. Mittausten alueellista kattavuutta täydennettiin typpidioksidin passiivikeräimillä, joita oli noin 40:ssä eri paikassa. Lisäksi tietoa polttoperäisten hiukkasten pitoisuuksista täydennettiin hiukkasten keuhkodeposoituvan pinta-alan (LDSA) mittauksilla. Raporttiin on koottu myös liikenteen, energiantuotannon ja muiden lähteiden päästötiedot ja raportissa tarkastellaan myös niissä tapahtuneita muutoksia.

Liitteissä on täydentäviä kuvia ja taulukoita sekä kuvaukset mittausasemista ja mittausverkon toiminnasta. Mittaustuloksia saa kattavasti avoimena datana HSY:n verkkosivuilta osoitteista hsy.fi/avoindata ja kartta.hsy.fi . Mittausasemien ilmanlaatutiedot ovat reaaliaikaisesti katsottavissa sivulta hsy.fi/ilmanlaatu sekä kartta.hsy.fi palvelusta. Ilmanlaatukartasta hsy.fi/ilmanlaatukartta näet ilmanlaadun nykytilan ja ennusteen lähituntien ajalta, juuri sieltä missä olet. Mittaustulokset saa reaaliaikaisena avoimena datana myös Ilmatieteen laitoksen sivuilta ilmatieteenlaitos.fi/avoin-data.

Ilmanlaatu vuonna 2019

Ilmanlaatu oli suurimman osan ajasta hyvä tai tyydyttävä

Vuonna 2019 ilmanlaatu oli varsin hyvä. Ilmanlaatu oli edellisvuotta parempi, mikä johtui osittain edellisvuotta edullisemmista sääoloista. Vuonna 2019 kuukausittaiset sademäärät ovat olleet keskiarvoa suuremmat (kappale 14) ja vuosi oli kaiken kaikkiaan leuto.

Pienhiukkasten, hengitettävien hiukkasten sekä typpidioksidin pitoisuudet olivat edellisvuotta matalammat. Myös muiden ilmansaasteiden pitoisuudet laskivat. Ilmanlaatu luokiteltiin hyväksi tai tyydyttäväksi yli 90 % mitatusta ajasta kaikilla mittausasemilla (kuva 2.1). Vuonna 2019 Mannerheimintiellä, Mäkelänkadulla, Kalliossa ja Vartiokylässä oli vähemmän välttävän ilmanlaadun tunteja kuin vuonna 2018. Myös huonon ja erittäin huonon ilmanlaadun tunteja oli määrällisesti vähemmän edellisvuoteen verrattuna, pois lukien Luukin ja Vartiokylän mittausasemat. Tikkurilassa huonon ja erittäin huonon ilmanlaadun tunnit pysyivät samalla tasolla kuin edellisenä vuonna. Mittausasemasta riippuen huonon ja erittäin huonon ilmanlaadun tunteja oli 2–174 (taulukko 2.1).

Kuva 2.1. Ilmanlaadun jakautuminen eri laatuluokkiin pääkaupunkiseudun mittausasemilla vuonna 2019.

Tämänhetkisen ilmanlaadun voit tarkistaa:
-HSY:n verkkosivuilta hsy.fi/ilmanlaatu
-hsy.fi/ilmanlaatukartta ennustaa myös
-kartta.hsy.fi
-Twitteristä @hsy_ilmanlaatu
-Ylen Aamu-TV:stä
-Ylen Aikaisen ja Radio Helsingin radiokanavilta
-Helsingin Sanomista
-QR-koodista, joka löytyy mittausaseman seinästä

Huonot ilmanlaadun tunnit aiheutuivat pääasiassa katupölystä

Huonot ja erittäin huonot ilmanlaadun tunnit aiheutuivat pääosin hengitettävistä hiukkasista eli katupölystä. Vilkasliikenteisellä Mäkelänkadulla myös korkeat typpidioksidipitoisuudet huononsivat ilmanlaatua (taulukko 2.1). Pientaloalueella Vartiokylässä ja tausta-asemalla Luukissa huonot tunnit aiheutuivat pääasiassa otsonista.

Varsinainen katupölykausi alkoi 22. maaliskuuta. Helmikuussa lämpötila oli kuitenkin keskimääräistä korkeampi ja kadut kuivuivat, ja hengitettävien hiukkasten vuorokausipitoisuus ylitti raja-arvotason. Ylitykset tapahtuivat helmikuun 21. ja 22. päivä Mäkelänkadulla, Friisilässä sekä Tikkurilassa Talvikkitiellä ja Neilikkatiellä.

Pölyisiä päiviä, jolloin vuorokausipitoisuus 50 µg/m3 ylittyy, oli liikenneympäristöjen läheisyydessä 9–22 kpl, eniten ylityksiä oli Friisilässä Länsiväylän varrella. Kalliossa ylityspäiviä oli kaksi, Länsisatamassa ja Pirkkolassa ylityspäiviä ei ollut ollenkaan. Raja-arvo katsotaan ylittyneeksi, jos pölyisiä päiviä on vuoden aikana yli 35 kpl/mittausasema. Hengitettävien hiukkasten vuorokausiohjearvo ylittyi katupölyn vuoksi maaliskuussa Friisilässä, huhtikuussa Leppävaarassa, Mannerheimintiellä, Talvikkitiellä ja Friisilässä. Vuorokausiohjearvo ylittyi vielä marraskuussa Mäkelänkadulla.

Pääkaupunkiseudulla toteutetut toimet katupölyn vähentämiseksi ovat tuottaneet tulosta. Vuosipitoisuudet ovat pitkällä aikavälillä laskeneet ja pölyisten päivien määrä on useilla mittausasemilla vähentynyt.

Mittausasema
PM10
PM2,5
NO2
O3
SO2
Yhteensä
Mannerheimintie
36
1
0
-
-
37
Mäkelänkatu
75
0
12
0
-
87
Kallio
11
0
0
0
0
11
Vartiokylä
-
0
0
2
-
2
Leppävaara
122
0
0
-
-
122
Tikkurila
48
0
1
-
-
49
Luukki
-
1
0
5
0
5
Länsisatama
12
0
0
-
0
12
Pirkkola
5
0
1
-
-
6
Friisilä
173
1
0
-
-
174
Talvikkitie
40
2
0
-
-
42

Puunpoltto tulisijoissa heikensi ilmanlaatua pientaloalueilla

Puunpolton päästöt voivat aiheuttaa korkeita syöpävaarallisen bentso(a)pyreenin pitoisuuksia. Vuonna 2019 bentso(a)pyreenin pitoisuuksia mitattiin kaupunkitausta-asemalla Kalliossa, liikenneympäristössä Mäkelänkadulla sekä pientaloalueilla Pirkkolassa, Paloheinässä ja Vartiokylässä. Bentso(a)pyreenin vuosipitoisuudet pysyivät tavoitearvon (1 ng/m³) alapuolella. Korkein vuosipitoisuus 0,6 ng/m3, mitattiin Paloheinän pientaloalueella. Muissa mittauspisteissä vuosipitoisuudet olivat matalia. Pitoisuudet olivat pienempiä kesällä kuin talvella. Kuukausitasolla pientaloalueiden pitoisuudet vaihtelivat voimakkaasti. Korkeimmat kuukausikeskiarvot olivat Pirkkolan 1,8 ja Paloheinän 1,7 ng/m3 tammi- ja joulukuussa, jolloin tulisijoja käytetään eniten.

Typpidioksidin raja-arvon ylitysalue pieneni

Vuonna 2019 typpidioksidin pitoisuuksien vuosikeskiarvot eivät ylittäneet millään mittausasemalla 40 µg/m3. Edellisvuoteen verrattuna mittausasemien ja passiivikeräinkartoitusten vuosipitoisuudet olivat matalammat. Typpidioksidin pitoisuuksissa on havaittavissa pidemmällä ajanjaksolla laskeva trendi.

Tuntitasolla typpidioksidin pitoisuudet olivat ajoittain korkeita. Tuntiohjearvo (150 µg/m³) ylittyi Mäkelänkadulla 22. tammikuuta 12 tunnin ajan. Myös raja-arvotaso (200 µg/m3) ylittyi 2 tuntina Mäkelänkadulla, mikä on harvinaista.

Typpidioksidin raja-arvon arvioidaan ylittyvän Helsingissä noin 200 metrin katuosuudella Pohjoisesplanadilla. Arvio ylitysalueen suuruudesta pieneni edellisvuoteen verrattuna kahdella kilometrillä. Raja-arvo on vaarassa ylittyä 5,5 kilometrin katuosuuksilla. Mannerheimintien, Mechelininkadun, Mäkelänkadun ja Sörnäisten rantatien ylitysalueet muuttuivat vaarassa ylittyä -alueiksi.

Useimmat päästöt vähenivät

Pääkaupunkiseudulla ilmansaasteiden merkittävimmät päästölähteet ovat autoliikenne, tulisijojen käyttö ja energiantuotanto. Lähellä hengityskorkeutta vapautuvat päästöt vaikuttavat eniten ilmanlaatuun.

Typenoksidipäästöistä lähes puolet tuli energiantuotannosta ja tieliikenteestä kolmasosa. Hiukkaspäästöistä tieliikenteen pakokaasujen osuus oli noin 30 %, mutta liikenne nostattaa lisäksi katujen pinnoilta eri kokoisia hiukkasia katupölynä ilmaan. Pientalojen tulisijoissa tapahtuvan puunpolton osuus hiukkaspäästöjen aiheuttajana oli noin 40 %. Energiantuotanto aiheuttaa hiukkaspäästöistä kolmasosan. Rikkidioksidipäästöt olivat pääosin peräisin energiantuotannosta. Kaikkiaan yhteenlaskettujen päästöjen arvioidaan pääkaupunkiseudulla vähentyneen edellisvuoteen verrattuna.

Pääkaupunkiseudun energiantuotantomäärä laski hiukan (4 %) verrattuna edelliseen vuoteen. Kivihiilen osuus energiantuotannossa käytetyistä polttoaineista oli 54 % (vähennystä edellisvuodesta 2 %) ja maakaasun osuus oli 34 % (väheni 15 %). Bioöljyn, biokaasun, hakkeen, pellettien, turpeen ja yhdyskuntajätteen yhteenlaskettu osuus oli 12 % (kasvua 32 %). Öljyn osuus oli 1 % . Vuosittaiset muutokset energiantuotannossa ja käytetyissä polttoaineissa johtuvat mm. sääolosuhteista ja sitä kautta lämmitystarpeesta sekä markkinatilanteesta.

Ilmanlaadun mittausverkko vuonna 2019

Vuonna 2019 HSY seurasi pääkaupunkiseudun ilmanlaatua monipuolisin jatkuvin mittauksin 11 kohteessa (taulukko 3.1 ja kuva 3.1). Mittauksilla seurataan liikenteen, puunpolton, energiantuotannon sekä lentokenttä- ja satamatoimintojen päästöjen vaikutuksia hengitysilman laatuun. Asemilla mitataan kaupunki-ilman tärkeimpien ilmansaasteiden pitoisuuksia ja säätilaa. Mittausverkon toimintaa ja mittausasemia sekä itse mittausmenetelmiä on kuvattu tarkemmin liitteessä 14 ja 15. Aikaisempien vuosien mittauspaikat ja -tulokset löytyvät kartalla HSY:n verkkosivulta kartta.hsy.fi tai HSY:n avoimen datan palvelusta hsy.fi/avoindata.

Mittausasemat on sijoitettu erityyppisille alueille. Kunkin alueen tulosten avulla voidaan arvioida ilmanlaatua myös muissa samankaltaisissa ympäristöissä. Siirrettävät mittausasemat sijaitsivat vuonna 2019 Länsiväylän varrella Friisilässä, Talvikkitiellä vilkasliikenteisen kadun varrella Tikkurilassa, Länsisatamassa ja Pirkkolan pientaloalueella. Mittauksia tehtiin myös tutkimushankkeiden yhteydessä, kuten hiukkasten keuhkodeposoituvan pinta-alan pitoisuusmittauksia (LDSA). Lisäksi passiivikeräimillä kartoitettiin typpidioksidipitoisuuksia noin 40 kohteessa (lisätietoja liitteessä 11).

Mittausasema
Edustavuus
PM10
PM2,5
NOx
SO2
O3
BC
VOC
PAH
Hiukkasten lkm
LDSA
Mannerheimintie
vilkasliikenteinen keskusta
x
x
x
x
Mäkelänkatu
vilkasliikenteinen katukuilu
x
x
x
x
x
x
x
x
x
Kallio
kantakaupunki, tausta-asema
x
x
x
x
x
x
x
x
x
x
Vartiokylä
pientaloalue
x
x
x
x
Leppävaara
vilkasliikenteinen keskus
x
x
x
Tikkurila
vilkasliikenteinen keskus
x
x
x
Luukki
maaseutu, tausta-asema
x
x
x
x
x
x
Länsisatama
sataman vaikutusalue
x
x
x
x
x
x
Pirkkola
pientaloalue
x
x
x
x
x
x
x
Länsiväylä Friisilä
pääväylän vaikutusalue
x
x
x
x
Talvikkitie, Tikkurila
vilkasliikenteinen keskus
x
x
x
Paloheinä
pientaloalue
x
x
Hiekkaharju
pientaloalue
x
Laaksolahti
pientaloalue
x
Rekola 2
pientaloalue
x
Kaivoksela
pääväylän vaikutusalue
x

Kuva 3.1. HSY:n ilmanlaadun mittausasemat vuonna 2019.

Hengitettävät hiukkaset

Hengitysilmassa olevat hengitettävät hiukkaset (PM10) ovat katujen ja teiden läheisyydessä suurimmaksi osaksi liikenteen nostattamaa katupölyä. Hengitettävät hiukkaset voivat aiheuttaa haittaa terveydelle varsinkin keväisin, kun katupölyä on paljon ilmassa. Suuret hengitettävien hiukkasten pitoisuudet heikentävät erityisesti ikääntyneiden hengityssairaiden hyvinvointia. Viime vuosina katujen tehostettu puhdistus ja pölynsidonta kalsiumkloridiliuoksella ovat vähentäneet katupölyn määrää. Myös liikenteen pakokaasujen ja energiantuotannon hiukkaspäästöt ovat vähentyneet 1990-luvun alusta alkaen.

Hengitettävien hiukkasten vuorokausiraja-arvo ei ole ylittynyt pääkaupunkiseudulla vuoden 2006 jälkeen, sillä pölyisiä päiviä saa olla 35 kertaa vuodessa. Hengitettävien hiukkasten vuorokausiohjearvo ylittyy tavanomaisesti erityisesti katupölyaikaan liikenneympäristöissä.

Vuoden 2017 alusta otettiin käyttöön uudet hiukkasten mittaustulosten korjauskertoimet. Ne vaikuttavat hieman hengitettävien hiukkasten ja pienhiukkasten tuloksiin joko nostaen tai laskien niitä, riippuen käytetyistä mittausmenetelmistä (liite 14). Tuloksia ei ole tässä raportissa korjattu takautuvasti.

Hengitettävien hiukkasten pitoisuuksien vuosikeskiarvot vaihtelivat vuonna 2019 pääkaupunkiseudun mittausasemilla Länsisataman 10 µg/m³:n ja Mannerheimintien 20 µg/m³:n välillä (kuva 4.1). Vuosikeskiarvot olivat kaikilla pysyvillä mittausasemilla edellisvuotta matalammat. Pitoisuudet alittivat myös kaikilla mittausasemilla selvästi vuosiraja-arvon 40 µg/m³. WHO:n vuosiohjearvo (20 µg/m3) ei myöskään ylittynyt (taulukko 4.1).

Vuorokausipitoisuuden raja-arvo ei myöskään ylittynyt. Raja-arvotason ylittäviä pölyisiä päiviä oli Friisilässä 22, Leppävaarassa 21, Mannerheimintiellä 15, Mäkelänkadulla 14, Tikkurilassa 13, Talvikkitiellä 9, Kalliossa 2, mutta Länsisatamassa ja Pirkkolassa ei yhtään (kuva 4.2). WHO:n vuorokausiohjearvo (50 µg/m³, saa ylittyä kolme kertaa vuodessa) ylittyi kaikilla muilla mittausasemilla paitsi Kalliossa, Pirkkolassa ja Länsisatamassa.

Pysyvillä mittausasemilla oli edellisvuoteen verrattuna saman verran vuorokausipitoisuuden raja-arvotason (50 µg/m3) ylityspäiviä, paitsi Tikkurilassa ylityspäiviä oli kolme enemmän ja Mäkelänkadulla kuusi vähemmän. Ylitykset osuivat pääasiassa maalis-toukokuulle. Ylitykset aiheutuivat pääosin katupölystä. Kesällä Mannerheimintiellä pölypitoisuuksien nousu johtui läheisestä katutyömaasta, muilla mittausasemilla ei havaittu yhtään pölyistä päivää kesän aikana.

Hengitettävien hiukkasten vuorokausipitoisuuden kansallinen ohjearvo (70 µg/m3) ylittyi maaliskuussa Friisilässä ja huhtikuussa Mannerheimintiellä, Leppävaarassa, Talvikkitiellä ja Friisilässä. Marraskuussa ohjearvo ylittyi vielä Mäkelänkadulla.

Huhtikuu oli pölyisin kuukausi, mutta kohonneita pitoisuuksia mitattiin useilla asemilla myös marraskuussa nastarengaskauden alettua. Kevään katupölykausi oli hieman edellisvuotta helpompi, mutta marraskuussa pölyisiä päiviä oli enemmän kuin edellisenä vuonna.

Kuva 4.1. Hengitettävien hiukkasten vuosikeskiarvot olivat edellistä vuotta matalampia. WHO:n vuosiohjearvo ylittyi Mannerheimintiellä.

Kuva 4.2. Pölyisten päivien määrät asemittain eri vuodenaikoina. Hengitettävien hiukkasten raja-arvo (vuorokausipitoisuus yli 50 µg/m³ useammin kuin 35 päivänä vuodessa) ei ylittynyt, mutta WHO:n ohjearvo (vuorokausipitoisuus 50 µg/m³) ylittyi selvästi useimmilla mittausasemilla.
PM10
µg/m3
Asettaja
Ylitys 2019
Asema
Vuosiraja-arvo
40
vuosikeskiarvo
VN asetus 79/2017
Ei
-
Vuosiohjearvo
20
vuosikeskiarvo
WHO 2006
Ei
-
Vuorokausiraja-arvo
50
saa ylittyä 35 kertaa vuodessa
VN asetus 79/2017
Ei
-
Vuorokausiohjearvo
50
saa ylittyä 3 kertaa vuodessa
WHO 2006
Kyllä
Mannerheimintie, Mäkelänkatu, Leppävaara, Tikkurila,
Friisilä, Talvikkitie
Vuorokausiohjearvo
70
saa ylittyä kerran kuukaudessa
VN päätös 480/1996
Kyllä
Friisilä, Mannerheimintie, Leppävaara, Talvikkitie
Mäkelänkatu.

Katupölytilanne

Talven ja kevään sääolot sekä katujen kunnossapito vaikuttavat siihen, kuinka paljon katupölyä kertyy katujen pinnoille ja milloin se nousee ilmaan katujen kuivahtaessa. Kevään katupölykauden ajankohta ja voimakkuus vaihtelevat siksi vuosittain. Katupölyhiukkasista suurin osa kuuluu hengitettävien hiukkasten karkeaan kokoluokkaan (PM10-2,5). Talvella pakokaasut ja hiukkaset heikentävät ilmanlaatua tyypillisesti tyyninä pakkasaamuina.

Vuosi 2019 alkoi lumipeitteisenä (10 cm), ja tammi–helmikuun vaihteessa pääkaupunkiseudulla oli jopa 50–60 cm lunta. Lumipeite säilyi lähes maaliskuun loppuun saakka. Tammikuun keskilämpötila pääkaupunkiseudulla oli -4,6 °C, mikä on 0,7 astetta pitkänajan (1981–2010) keskiarvoa kylmempi. Helmikuussa keskilämpötila oli keskimääräistä korkeampi. Helmikuun loppupuolella kadut kuivuivat ja katupöly heikensi ilmanlaatua. Helmikuun 21. ja 22. mitattiin vuoden ensimmäiset hengitettävien hiukkasten vuorokausiraja-arvotason (50 µg/m³) ylitykset (kuva 4.3.). Ylitykset tapahtuivat Mäkelänkadulla, Friisilässä sekä Tikkurilassa Talvikkitiellä ja Neilikkatiellä. Nastarenkaat irrottivat katupölyä ja liikennevirta nostatti sitä kuivilta kaduilta ilmaan. Tammi–helmikuussa vuorokausipitoisuudet ylittivät raja-arvotason Talvikkitiellä Tikkurilassa kaksi kertaa ja kerran Mäkelänkadulla, Friisilässä ja Neilikkatiellä Tikkurilassa.

Katupöly heikensi ilmanlaatua etenkin maalis-huhtikuun aikana. Kevään katupölykausi alkoi 22. maaliskuuta ja jatkui huhtikuun ajan. Huhtikuussa korkeimmat vuorokausipitoisuudet mitattiin pölyisellä ajanjaksolla 2.4.–7.4. Korkeimmat pitoisuudet (145 µg/m³) olivat 4. huhtikuuta Leppävaarassa ja Friisilässä. Pölyisellä ajanjaksolla oli aurinkoista ja poutaa, päivälämpötilat kohosivat yli 10 asteeseen. Yöpakkasia ei juuri enää ollut. Sateita tuli 8. huhtikuuta alkaen, ja ilmanlaatu parani. Muita pölyisiä jaksoja oli 15.4.–18.4. ja 23.4.–26.4., jonka jälkeen katupölykausi oli ohi. Kevätpölykauden korkeimmat hengitettävien hiukkasten vuorokausipitoisuudet eri mittausasemilla vaihtelivat Länsisataman 48 µg/m³:n ja Friisilän 145 µg/m³:n välillä. Vuoden 2019 katupölyjakso oli yleisesti hieman vuotta 2018 helpompi (kuva 4.3 ja 4.4). Katupölykaudella pölyisiä päiviä oli pysyvillä mittausasemilla pääasiassa edellisvuotta vähemmän. Huhtikuu oli kaikkialla selvästi pölyisin kuukausi.

Kevät 2019 oli viime vuosien tapaan pitkään kuiva ja varsin tuulinen, joten pölynsidontaa jouduttiin Helsingissä tekemään varsin usein. HSY antoi kastelupyynnöt pääkaupunkiseudun pääväylille 27. maaliskuuta, 1. huhtikuuta, 3. huhtikuuta, 15. huhtikuuta ja 23. huhtikuuta. Tällöin tienpintoja kasteltiin pölyä sitovalla kalsiumkloridiliuoksella. HSY:n kastelupyyntöjen lisäksi pääkatuja kasteltiin keskustan alueella mm. 4., 5. ja 12. huhtikuuta sekä 3. ja 9. toukokuuta (Lehtonen 2019). Lisäksi Jätkäsaaren työmaa-alueita kasteltiin säännöllisesti. Hiekannosto pääväyliltä ja pyöräteiltä aloitettiin 27.3., mutta yöpakkasten takia työt ajoittuivat enimmäkseen päiväsaikaan. Vasta 15.4 päästiin öiseen aikaan katujen pesuihin täydellä teholla. Samoihin aikoihin eli 16.4 alkoivat asuntokatujen info-siivoukset, jolloin pysäköidyt ajoneuvot hinattiin sivuun ja koko katualue lakaistiin hiekasta ja sen jälkeen pestiin runsaalla vedellä. Keskustan alueella info-siivoukset saatiin päätökseen vappuun mennessä.

Vantaalla katujen puhdistus aloitettiin koko kalustolla 25.3 tiemestaripiireissä ja urakka-alueilla 1.4. Kovat yöpakkaset, kylmät aamut (11 kpl) sekä vedenottopisteiden huoltoseisokki hidastivat paikoin hiekan poistoa. Sateiden määrä huhtikuussa oli vähäinen, ja päivät olivat kuivia ja aurinkoisia, joten pölynsidontaa tehtiin keväällä kolme kertaa: 27–28.3., 15–17.4. sekä 24–26.4.2019. Pääosin kadut saatiin puhdistettua vappuun mennessä. Pesuja parkkialueilla ja muita viimeistelytöitä tehtiin vielä toukokuun alkupuolella, mutta edellisiin vuosiin nähden katujen puhdistus onnistui suunnitellun aikataulun puitteissa. (Hämäläinen 2019)

Espoon katukunnossapidon kannalta kevät 2019 oli tavanomainen. Espoossa karkea hiekka saatiin pääosin kerättyä toukokuun alkuun mennessä. Katujen pesut sekä viimeistelyharjaukset jatkuivat toukokuun ajan, ja ne saatiin päätökseen vain viikkoa myöhemmin kuin keväällä 2018. Hiekkateiden suolaukset aloitettiin samana päivänä kuin keväällä 2018. Espoon kaupunki ei käyttänyt pölynsidontaa asfalttiteillä. (Aho & Salo 2019)

Toukokuun loppuun mennessä hengitettävien hiukkasten raja-arvotason ylityspäiviä oli Mannerheimintiellä 12, Mäkelänkadulla 9, Kalliossa 2, Leppävaarassa 17, Friisilässä 21, Tikkurilassa Neilikkatiellä 10 ja Tikkurilassa Talvikkitiellä 8. Raja-arvo ylittyy, jos ylityspäiviä on vuoden aikana yli 35.

Touko–kesäkuussa pölyisiä päiviä ei enää ollut lukuun ottamatta Mannerheimintietä. Mannerheimintiellä hengitettävien hiukkasten raja-arvotaso ylittyi vielä läheisen katutyömaan vuoksi kolmesti toukokuun loppupuolella ja kolmesti kesäkuussa. Muilla mittausasemilla ei havaittu yhtään pölyistä päivää kesän aikana. Kesäkuu oli vähäsateinen ja normaalia lämpimämpi. Heinäkuu ja elokuu olivat lämpötiloiltaan ja sademääriltään pitkäaikaisten keskiarvojen tasalla.

Maanantaina 25. marraskuuta hengitettävien hiukkasten pitoisuudet olivat korkeita. Tuona päivänä hengitettävien hiukkasten raja-arvotaso ylittyi neljällä mittausasemalla. Sää oli poutainen ja tyyni sekä lämpötila noin +2 °C. Syy kohonneisiin pitoisuuksiin oli todennäköisesti katupöly.

Vuoden aikana raja-arvotason ylityspäiviä oli Kalliossa 2, Leppävaarassa 21, Mannerheimintiellä 15, Mäkelänkadulla 14, Friisilässä 22, Tikkurilassa 13 ja Talvikkitiellä 9. Suurin osa ylityksistä osui kevään katupölykaudelle.

Kuva 4.3. Hengitettävien hiukkasten vuorokausipitoisuudet kevään 2019 katupölykaudella.

Kuva 4.4. Hengitettävien hiukkasten vuorokausipitoisuudet kevään 2018 katupölykaudella.

Raja-arvotason ylittävien päivien ylitysmarginaalilla tarkoitetaan sitä, kuinka paljon suurempi kuin 50 µg/m³ pitoisuus oli. Ylitysmarginaali oli vuonna 2017 Mannerheimintien mittausasemalla poikkeuksellisen iso verrattuna muihin vuosiin (kuva 4.5). Vuonna 2019 pölyisten päivien keskiarvopitoisuus Mannerheimintiellä (15 kpl) oli 60 µg/m3 ja Mäkelänkadulla (14 kpl) 65 µg/m3. Leppävaarassa pölyisiä päiviä oli 21 ja niiden keskiarvo oli 83 µg/m3. Eniten pölyisiä päiviä oli Friisilässä (22 kpl) Länsiväylän varrella, jossa keskiarvo oli 79 µg/m3.

Kuva 4.5. Hengitettävien hiukkasten vuorokausiraja-arvotason (50 µg/m³) ylittävien päivien lukumäärä Mannerheimintien mittausasemalla (kpl/v, palkit) ja ylityspäivinä mitattu keskimääräinen ylitysmarginaali eli 50 µg/m³:n ylittävä pölypitoisuus (µg/m³, viiva).

Katupölyn lähteet ja torjuntakeinot
Nastarenkaiden osuutta katupölyn muodostuksessa on selvitetty NASTA- ja REDUST-hankkeissa. Nastarenkaiden aiheuttaman asfaltin kulumisen on todettu olevan keskeisin katupölyn lähde pääkaupunkiseudulla (Kupiainen ym. 2013 a, b). REDUST-hankkeessa arvioitiin myös kunnossapidon keinoja katupölyongelman lievittämiseksi. Hankkeessa tutkittuja käytäntöjä, kuten pölynsidontaa ja tehokasta pesutekniikkaa, on otettu käyttöön pääkaupunkiseudulla ja pölypitoisuudet ovat olleet laskusuunnassa. Katupölypäästöihin vaikuttavia tekijöitä on arvioitu mittausten ohella myös pohjoismaisella NORTRIP-mallinnustyökalulla. Mallinnustuloksia löytyy raportista Stojiljkovic ym. 2016. Tuoreimpia katupölytutkimusten mittaus- ja mallinnustuloksia löytyy KALPA-hankkeen raportista (Kulovuori ym. 2019).‍‍

Pienhiukkaset

Pääkaupunkiseudulla ulkoilman pienhiukkaset (PM2,5) ovat pääasiassa peräisin liikenteen ja puunpolton päästöistä. Lisäksi pienhiukkasia kulkeutuu pääkaupunkiseudulle maan rajojen ulkopuolelta. Kaukokulkeuma aiheuttaa keskimäärin yli puolet pienhiukkasten pitoisuudesta, jopa pääkaupunkiseudun vilkasliikenteisillä alueilla. Pienhiukkasia pidetään erityisen haitallisina terveydelle.

Ilmanlaatuasetuksessa (79/2017) pienhiukkasten pitoisuuksille on asetettu vuosiraja-arvo (25 µg/m³), altistumisen pitoisuuskatto (20 µg/m³) sekä altistumisen vähentämistavoite. Suomessa pitoisuudet ovat selkeästi vuosiraja-arvon ja altistumisen pitoisuuskaton alapuolella. Altistumisen vähentämistavoite määräytyy Kallion mittausaseman vuosien 2013–2015 pitoisuuksien perusteella. Pitoisuus oli 6,8 µg/m³ eikä altistumisen vähentämistavoitetta tässä vaiheessa ole.

Vuoden 2017 alusta otettiin käyttöön uudet hiukkasten mittaustulosten korjauskertoimet. Ne vaikuttavat hieman hengitettävien hiukkasten ja pienhiukkasten tuloksiin joko nostaen tai laskien niitä, riippuen käytetyistä mittausmenetelmistä (liite 14). Tuloksia ei ole tässä raportissa korjattu takautuvasti.

Pienhiukkaspitoisuuksien vuosikeskiarvot vaihtelivat vuonna 2019 pääkaupunkiseudun eri mittausasemien välillä 5,1–7,3 µg/m³. Pitoisuudet olivat selvästi alle EU:n raja-arvon 25 µg/m³ sekä myös WHO:n ohjearvon 10 µg/m³(kuva 5.1). Pienin vuosikeskiarvo 5,1 µg/m³ mitattiin Luukin tausta-asemalla ja Länsisatamassa. Suurin vuosikeskiarvo 7,3 µg/m³ mitattiin Mannerheimintiellä. Vuosikeskiarvot olivat matalampia kuin edellisvuotena (kuva 5.2). Vuonna 2018 Mannerheimintiellä vuosikeskiarvo oli 8,2 µg/m³. Kaikilla muillakin pysyvillä mittausasemilla pitoisuudet laskivat edellisvuodesta.

Korkeimmat mitatut vuorokausipitoisuudet vaihtelivat Luukin 18 µg/m³:n ja Talvikkitien 32 µg/m³:n välillä. WHO:n vuorokausiohjearvotaso 25 µg/m³ (saa ylittyä kolme kertaa vuodessa) ylittyi kerran Tikkurilassa Talvikkitiellä ja Neilikkatiellä ja kolme kertaa Friisilässä, jossa ylityksiä oli kaksi huhtikuussa ja yksi marraskuussa (taulukko 5.1). Vuorokausiohjearvo ei ylittynyt millään asemalla.

Korkeimmat tuntipitoisuudet vaihtelivat Mannerheimintien 118 µg/m³:n ja Länsisataman 31 µg/m³:n välillä. Mannerheimintien korkein pitoisuus mitattiin 14. kesäkuuta.

Kuva 5.1. Pienhiukkaspitoisuuksien vuosikeskiarvot vuonna 2019. EU:n raja-arvo 25 µg/m³ tai WHO:n ohjearvo 10 µg/m³ eivät ylittyneet.

Kuva 5.2. Pienhiukkasten vuosikeskiarvot ovat laskeneet pitkällä aikavälillä.
PM2,5
µg/m3
Asettaja
Ylitys 2019
Asema
Vuosiraja-arvo
25
vuosikeskiarvo
VN asetus 79/2017
Ei
-
Vuosiohjearvo
10
vuosikeskiarvo
WHO 2006
Ei
-
Vuorokausiohjearvo
25
vuorokausipitoisuus, saa ylittyä 3 kertaa vuodessa
WHO 2006
Ei
-

Pienhiukkasten episoditilanteet

Korkeita pienhiukkasten tunti- ja vuorokausipitoisuuksia aiheuttavat kaukokulkeumat, vilkasliikenteisillä alueilla liikenteen päästöt ja katupöly sekä pientaloalueilla tulisijojen käytön savut. Myös ilotulitukset ja tulipalot aiheuttavat yksittäisiä korkeita paikallisia pitoisuushuippuja. Usein säätekijät vaikuttavat episodien voimakkuuteen esimerkiksi heikentäen päästöjen laimenemista tai edistäen saasteiden kulkeutumista seudulle.

Vuosina 2015–2017 pääkaupunkiseudulla ei ole ollut voimakkaita pienhiukkasepisodeja, jolloin vuorokausipitoisuudet olisivat useimmilla asemilla nousseet yli WHO:n terveysperusteisen ohjearvotason 25 µg/m³:n (kuva 5.3).

Vuonna 2019 tammikuun 22. päivänä vallitsi heikkotuulinen pakkassää ja pienhiukkasten vuorokausipitoisuudet ylittivät paikoin WHO:n vuorokausiohjearvotason 25 µg/m3 (kuva 5.4). Ohjearvotaso saa ylittyä korkeintaan 3 päivänä vuodessa. Jos ylityksiä on enemmän, ohjearvo katsotaan ylittyneeksi. Huhtikuun 4. ja 5. päivä pienhiukkasten vuorokausipitoisuudet ylittivät ohjearvotason pääväylän varrella Friisilässä. Ohjearvo ei kuitenkaan ylittynyt. Kesän aikana ei ollut muualta kulkeutuvien pienhiukkasten merkittäviä kaukokulkeumia.

Perjantaina 25. lokakuuta pääkaupunkiseudulle saapui pienhiukkasten kaukokulkeuma etelästä. Pitoisuudet nousivat koko seudulla klo 11–21 välillä. Korkeimmillaan tuntikeskiarvot nousivat 22 µg/m³:aan (Mäkelänkatu ja Vartiokylä). Kaukokulkeuma oli lievä, sillä ilmanlaatu pysyi hyvänä tai tyydyttävänä ja oli vain Tikkurilassa välttävä yhden tunnin ajan. Toinen samantyyppinen kaukokulkeuma saapui torstaina 14. marraskuuta, jolloin pitoisuudet nousivat pikkuhiljaa aamupäivällä ja laskivat klo 18 mennessä. Korkeimmillaan tuntikeskiarvot olivat 25–30 µg/m³ (Tikkurila ja Mäkelänkatu). Ilmanlaatu pysyi tyydyttävänä lähes kaikkialla ja oli välttävä vain yksittäisen tunnin ajan Talvikkitiellä ja Neilikkatiellä Tikkurilassa.

Etelä-Venäjän ja Ukrainan maastopaloista peräisin olevia pienhiukkasia kulkeutui Suomeen sunnuntaina 10. marraskuuta. Pitoisuudet olivat kuitenkin melko maltillisia ja nousivat klo 15 korkeimmillaan noin 15 µg/m³:aan (Friisilä). Ilmanlaatu oli hyvä tai tyydyttävä. Iltaan mennessä pitoisuudet olivat laskeneet normaalitasolle.

Pienhiukkasten vuorokausiohjearvon ylityspäivien lukumäärä ja ylityksen suuruus. Viime vuosina pääkaupunkiseudulla ei ole ollut voimakkaita pienhiukkasepisodeja.
Kuva 5.3. Pienhiukkasten vuorokausiohjearvotason ylityspäivien lukumäärä ja ylityksen suuruus Kalliossa. Viime vuosina pääkaupunkiseudulla ei ole ollut voimakkaita pienhiukkasepisodeja.

Kuva 5.4. Tammikuun 22. päivänä vallitsi heikkotuulinen pakkassää ja pienhiukkasten vuorokausipitoisuudet ylittivät paikoin WHO:n vuorokausiohjearvotason.

Polysykliset aromaattiset hiilivedyt

Polysykliset aromaattiset hiilivedyt (PAH) ovat hiilestä ja vedystä koostuvia yhdisteitä, joista osa esiintyy hiukkasmuodossa. PAH-yhdisteitä syntyy epätäydellisessä palamisessa. Kohonneita pitoisuuksia esiintyy erityisesti asuinalueilla, joilla on paljon talokohtaista puulämmitystä. Liikenteen päästöjen vaikutus PAH-pitoisuuksiin on melko vähäinen. PAH-yhdisteisiin kuuluvan bentso(a)pyreenin tavoitearvo voi ylittyä puunpolton päästöjen vuoksi paikoin pientaloalueilla. Pitoisuudet vaihtelevat pientaloalueiden sisällä ja välillä. Mittausaseman sijainnilla on myös suuri vaikutus pitoisuustasoihin, sillä lähitalosta peräisin olevat päästöt korostuvat mittaustuloksissa.

Bentso(a)pyreenin pitoisuuksia mitattiin vuonna 2019 Mäkelänkadun vilkasliikenteisessä katukuilussa, Kalliossa kantakaupungin tausta-asemalla ja pientaloalueilla Vartiokylässä, Pirkkolassa ja Paloheinässä. Bentso(a)pyreenin pitoisuuden vuosikeskiarvo oli Mäkelänkadulla 0,3 ng/m³, Kalliossa 0,3 ng/m³, Vartiokylässä 0,4 ng/m³, Pirkkolassa 0,5 ng/m³ ja Paloheinässä 0,5 ng/m³. Pitoisuudet olivat tavoitearvon 1 ng/m³ alapuolella (kuva 6.1 ja taulukko 6.1). Pitoisuudet olivat samaa tasoa kuin edellisvuonna.

Bentso(a)pyreenin pitoisuudet olivat kesällä matalampia kuin talvikuukausina. Korkein kuukausiarvo 1,8 ng/m³ mitattiin tammikuussa Pirkkolassa. Tammikuu alkoi pakkasvoittoisena ja tammikuun lopussa inversiotilanne heikensi ilmansaasteiden sekoittumista. Myös muualla on mitattu korkeita bentso(a)pyreenin pitoisuuksia, kuten Lahdessa keväällä 2018 kuukausikeskiarvoja 1,5–2,9 ng/m³ (Auranen & Kähäri 2019).

Kuva 6.1. PAH-pitoisuudet ovat tavanomaista korkeampia erityisesti asuinalueilla, joilla poltetaan paljon puuta. Esim. vilkasliikenteisellä Mäkelänkadulla pitoisuudet ovat matalampia.
Bentso(a)pyreeni
ng/m3
Asettaja
Ylitys 2019
Asema
Tavoitearvo
1
vuosikeskiarvo
VN asetus 113/2017
Ei
-

Musta hiili

Mustalla hiilellä (BC=Black Carbon) tarkoitetaan voimakkaasti valoa sitovia hiukkasia, joissa on korkea epäorgaanisen hiilen pitoisuus. Musta hiili voimistaa kasvihuoneilmiötä, koska se sitoo tehokkaasti lämmittävää auringon säteilyä. Mustalla hiilellä on myös yhteys terveyshaittoihin. Mustaa hiiltä vapautuu ilmaan polttoprosesseissa. Tärkeimmät päästölähteet pääkaupunkiseudulla ovat dieselajoneuvot, puunpoltto tulisijoissa, laivaliikenne ja kaukokulkeuma. Ulkolähteistä peräisin oleva musta hiili tunkeutuu tehokkaasti sisätiloihin.

Mustan hiilen mittauksilla tarkennetaan käsitystä polttoperäisten pienhiukkasten pitoisuuksien vaihteluista ja lähteistä pääkaupunkiseudulla. Mittauksilla seurataan muun muassa pitoisuuksien kehittymistä vilkasliikenteisillä alueilla, sillä ajoneuvojen kiristyneet hiukkaspäästönormit ja hiukkaspäästöjen puhdistustekniikat vähentävän tehokkaasti mustan hiilen päästöjä. Mustan hiilen pitoisuudet ovat laskeneet pitkällä aikavälillä ajoneuvokannan uudistumisen myötä varsinkin vilkasliikenteisissä ympäristöissä (kuva 7.1)(Luoma ym. 2020).

Vuonna 2019 mustan hiilen pitoisuuksia mitattiin Mannerheimintiellä, Mäkelänkadulla, Kalliossa, Länsisatamassa, Pirkkolassa, Friisilässä ja Luukissa. Mustan hiilen vuosipitoisuudet mittausasemilla vaihtelivat Luukin 0,2 µg/m³:n ja Mäkelänkadun 0,8 µg/m³:n välillä.

Mustan hiilen korkeimmat vuorokausikeskiarvot vaihtelivat Pirkkolan 9,1 µg/m³:n ja Luukin 1,6 µg/m³:n välillä. Korkein tuntipitoisuus vaihteli Pirkkolan 23 µg/m³:n ja Luukin 2,6 µg/m³ välillä.

Mustaa hiiltä mitataan alle yhden mikrometrin kokoisista hiukkasista, sillä valtaosa mustasta hiilestä on PM1 -kokoluokassa. Mittaustulosten perusteella voidaan laskea kohtalaisen tarkasti mustan hiilen osuus koko pienhiukkasten massasta. Musta hiili muodosti pienhiukkasten massasta Mäkelänkadulla keskimäärin 13 %, Pirkkolassa 10 % ja Länsisatamassa 9 %, Mannerheimintiellä ja Kalliossa 8%, Friisilässä 7 % ja Luukissa 5%.

Pääkaupunkiseudulla mitatut mustan hiilen pitoisuudet ovat nykyään mittauspaikasta ja vuodesta riippuen noin 2−5 kertaa korkeampia kuin Etelä-Suomen tausta-asemilla (Hyvärinen ym. 2011) tai Luukissa. Syynä pääkaupunkiseudun muuta maata korkeampiin pitoisuuksiin ovat paikallisen liikenteen päästöt ja päästöt puun polttamisesta tulisjoissa sekä osaltaan myös kaukokulkeuma. Paikallisten päästöjen suuri merkitys näkyy selvästi pitoisuuksien vaihtelussa eri vuorokaudenaikoina (kuvat 7.2 ja 7.3). Arkiaamuina pitoisuudet kohoavat liikennealueilla. Pientaloalueilla viikonloppuiltojen pitoisuudet kohoavat vielä arkipäiviä voimakkaammin.

Kuva 7.1. Mustan hiilen vuosikeskiarvot vuosina 2009–2019. * = dataa alle 90% käytössä

Kuva 7.2. Mustan hiilen pitoisuuksien vaihtelu vuorokaudenajan mukaan arkena eri mittausasemilla vuonna 2019.

Kuva 7.3. Mustan hiilen pitoisuuksien vaihtelu vuorokaudenajan mukaan viikonloppuna eri mittausasemilla vuonna 2019.

Hiukkasten lukumääräpitoisuudet

Hiukkasten lukumäärämittauksilla saadaan tietoa hiukkasten lukumäärästä pääkaupunkiseudun erilaisissa ympäristöissä sekä pitoisuustasojen muutoksista. Vuonna 2015 hiukkasten lukumäärää autojen päästöissä alettiin säädellä kiristyneiden päästönormien myötä. Suomessa maaseututausta-asemilla hiukkasten lukumäärät ovat huomattavasti matalampia kuin pääkaupunkiseudulla. Esimerkiksi Saaristomeren sisääntuloväylän varrella Utössä hiukkasten lukumäärä on ollut runsaat 3 000 kpl/cm3 (mittausalue 7–500 nm) ja Lapissa Värriön luonnonpuistossa lähellä Venäjän rajaa 700 kpl/cm3 (mittausalue 8–460 nm) (Dal Maso ym. 2008). Muualla pohjoismaissa hiukkasten lukumääräpitoisuuksia mitataan mm. Tukholmassa, jossa pitoisuudet olivat vuonna 2018 Hornsgatanin vilkasliikenteisessä katukuilussa 13 700 kpl/cm3 sekä kaupunkitausta-asemalla 6 300 kpl/cm3 (mittausalueet > 4 nm) (SLB 2020). Tanskassa hiukkasten lukumääräpitoisuus oli vuonna 2016 Kööpenhaminan keskustassa 13 000 kpl/cm3, esikaupunkialueella noin 3 700, kaupunkitausta-asemalla noin 2 900 ja maaseudun tausta-asemalla noin 3 000 kpl/cm3 (mittausalue 6–700 nm, esikaupunkialueella 11–478 nm) (Ellermann ym. 2017).

Vuonna 2019 HSY teki hiukkasten lukumäärämittauksia Helsingin keskustassa Mäkelänkadulla, kaupunkitausta-asemalla Kalliossa ja pientaloalueella Pirkkolassa. Helsingin yliopisto mittaa hiukkasten lukumäärää kaupunkitaustaa edustavalla asemalla Kumpulassa. Lukumääräpitoisuuden vuosikeskiarvo oli vuonna 2019 Mäkelänkadulla 15 200 kpl/cm3 (mittausalue 6–800 nm, datan kattavuus 6 nm), Pirkkolassa 6 900 kpl/cm3 (> 5 nm) ja Kumpulassa 4 800 kpl/cm3 (> 5 nm) (Helsingin yliopisto 2020). Suurimmat tuntipitoisuudet ovat vaihdelleet välillä 57 000–144 000 kpl/cm3.

Paikallisten päästöjen vaikutus pitoisuuksiin näkyy selvästi pitoisuuksien vaihtelussa viikonpäivän ja vuorokaudenajan mukaan (kuva 8.1). Pitoisuudet nousivat arkiaamuliikenteen myötä ja laskivat jälleen illan hiljentyessä. Kallion kaupunkitausta-asemalla vaihtelu oli huomattavasti vähäisempää. Pitoisuudet olivat molemmilla mittausasemilla matalimmat aamuyöstä, jolloin myös liikenne oli vähäisintä.

Kuva 8.1. Hiukkasten lukumääräpitoisuuksien vuosikeskiarvot HSY:n ja Helsingin yliopiston Kumpulan mittausasemilla vuosina 2009–2019.

Hiukkasten keuhkodeposoituva pinta-ala

Hiukkasten keuhkodeposoituvasta pinta-alasta käytetään lyhennettä LDSA (lung-deposited surface area). Hiukkasten LDSA kuvaa hiukkasten laskennallista kokonaispinta-alaa, joka kulkeutuu ja laskeutuu hengityselinten syvimpiin osiin keuhkorakkuloihin saakka. Mitä suurempi on LDSA-pitoisuus, sitä suurempi on todennäköisyys hiukkasten pinnalla olevien kemiallisten yhdisteiden kulkeutumiselle keuhkorakkuloihin ja edelleen verenkiertoon. LDSA-pitoisuuden yksikkö on neliömikrometriä kuutiosenttimetrissä ilmaa (µm²/cm³). (Kuula 2019 ja Kuula ym. 2019)

Mittaukset aloitettiin vuonna 2018 ja HSY mittasi LDSA-pitoisuutta Pegasor Oy:n valmistamilla AQTM Urban -mittalaitteilla, osin Helsinki metropolitan Air Quality Testbed (HAQT) -hankkeen tutkimusyhteistyönä (haqt.fmi.fi). Menetelmä soveltuu hyvin polttoperäisten lähipäästöjen hiukkasten seurantaan eli liikenteen ja puunpolton päästöjen ilmanlaatuvaikutusten arviointiin. Laite mittaa noin 10-400 nm kokoluokan hiukkasia, joten se ei havaitse ollenkaan katupölyhiukkasia ja vain osan kaukokulkeutuneista hiukkasista (Kuula ym. 2019).

Vuonna 2019 LDSA-mittalaitteita oli käytössä 10 kappaletta. Kaksi sijaitsi vilkasliikenteisissä ympäristöissä Mäkelänkadulla ja Hämeenlinnanväylän varrella Kaivokselassa, yksi Kallion kaupunkitaustaa edustavalla mittausasemalla, yksi sataman vaikutusalueella Länsisatamassa, yksi Luukin alueellisella tausta-asemalla ja viisi pientaloalueilla, joilla poltetaan paljon puuta (Helsingissä Paloheinä ja Pirkkola, Espoossa Laaksolahti ja Vantaalla Hiekkaharju).

Katupölyn ja kaukokulkeuman suurilla hiukkasilla on keskeinen vaikutus hiukkasmassaan (esimerkiksi PM10 tai PM2,5), joten mittausmenetelmän antamia tuloksia ei voi verrata hiukkasten massapitoisuuksille annettuihin raja- tai ohjearvoihin. LDSA-pitoisuuksilla on voimakas korrelaatio liikenneympäristöissä pakokaasuperäisten NOx ja BC-pitoisuuksien kanssa sekä pientaloalueiden puunpoltosta peräsin olevien BC-pitoisuuksien kanssa. Pienhiukkasten massapitoisuuden ja LDSA-pitoisuuden välinen korrelaatio on melko heikkoa. (Kuula 2019 & Kuula ym. 2019)

LDSA-pitoisuuden vuosikeskiarvot olivat korkeimmat vilkasliikenteisissä ympäristöissä Mäkelänkadulla (18 µm²/cm³) ja Kaivokselassa (17 µm²/cm³). Luukissa vuosipitoisuus oli 6 µm²/cm³ ja pientaloalueilla 8–11 µm²/cm³. Länsisatamassa vuosikeskiarvo oli 10 µm²/cm³.

Pääkaupunkiseudulla mitatut pitoisuudet ovat matalia verrattuna muualla Euroopassa mitattuihin. Esimerkiksi Zürichissä moottoritien ja vilkasliikenteisten katujen varsilla LDSA-pitoisuudet olivat 40–63 µm²/cm³ ja liikenteeltään keskimääräisen kadun varrella 28 µm²/cm³. Kaupunkitaustaa edustavilla mittausasemilla pitoisuudet olivat esimerkiksi Zürichissä 11 ja 19, Lissabonissa 35–89, Leicesterissä 30 ja Barcelonassa 37 µm²/cm³. Liikenteellä mainittiin olleen vaikutusta kaupunkitaustan tuloksiin Zürichissä, Leicesterissä ja Barcelonassa. (Kuula ym. 2019)

Kuvassa 9.1 on esitetty LDSA-pitoisuuksien kuukausikeskiarvot eri mittausasemilla. Polttoperäisten hiukkasten pitoisuudet ovat yleensä matalimmat kesällä, mutta LDSA-pitoisuudet käyttäytyvät toisin. LDSA-pitoisuudet ovat Luukissa kesällä korkeampia kuin muina vuodenaikoina eikä muidenkaan asemien pitoisuuksissa ole havaittavissa selkeää kesäminimiä. Tämä johtunee siitä, että hiukkaset ovat kooltaan ja siten myös pinta-alaltaan kesällä suurempia kuin muina vuodenaikoina. Kesällä muodostuvat luontoperäiset orgaaniset aerosolit, muita vuodenaikoja voimakkaampi säteily ja valokemialliset reaktiot aiheuttavat mahdollisesti hiukkaskoon kasvun (Kuula ym. 2019). Luukin tulokset kuvaavat taustapitoisuuksia, jotka vaikuttavat muidenkin mittausasemien tuloksiin.

Kuvissa 9.2 ja 9.3 on esitetty LDSA-pitoisuuksien vaihtelu vuorokaudenajan mukaan. Liikenteen päästöjen vaikutus näkyy liikenneasemilla Mäkelänkadulla ja Kaivokselassa erityisen voimakkaasti arkipäivinä. Puunpolton vaikutus puolestaan näkyy pientaloalueilla iltaisin ja erityisesti viikonloppuna. Länsisataman LDSA-pitoisuuksissa on havaittavissa laivojen saapumis- ja lähtöaikojen rytmiin liittyviä pitoisuushuippuja. Ne johtuvat pääosin autoliikenteen päästöistä, sillä osa laivamatkustajista liikkuu autoilla ja lisäksi raskaan tavaraliikenteen määrä on merkittävä. Laivaliikenteen päästöillä on luultavasti vain pieni vaikutus LDSA-pitoisuuksiin satamassa hengityskorkeudella, koska laivoissa päästökorkeus on melko suuri.

Kuva 9.1. LDSA-pitoisuuksien kuukausikeskiarvot vuonna 2019. Mittauksia ei tehty kaikissa paikoissa koko vuotta.

Kuva 9.2. LDSA:n tuntikeskiarvojen vuorokaudenaikaisvaihtelu arkisin vuonna 2019. * = dataa alle 75 %

Kuva 9.3. LDSA:n tuntikeskiarvojen vuorokaudenaikaisvaihtelu viikonloppuisin vuonna 2019. * = dataa alle 75 %

Typenoksidit

Typenoksideilla (NOx) tarkoitetaan tässä raportissa typpimonoksidia (NO) ja typpidioksidia (NO2). Pääkaupunkiseudulla niiden suurimmat päästölähteet ovat energiantuotanto ja tieliikenne, erityisesti raskas liikenne. Hengitysilmassa olevat typenoksidit ovat peräisin liikenteen, erityisesti dieselautojen ja raskaan liikenteen päästöistä. Typenoksidien pitoisuudet ovat laskeneet merkittävästi pääkaupunkiseudun mittausasemilla viimeisen noin kolmen vuosikymmenen aikana, jolloin mittauksia on tehty (kuva 10.1, 10.2 ja liite 6, vanhempien vuosiraporttien liitteistä löytyvät pidemmät aikasarjat). Pitoisuuksien lasku on huomattu myös passiivikeräimillä tehdyissä kartoituksissa. Vilkasliikenteisimmissä paikoissa pakokaasujen typenoksidien pitoisuudet ovat laskeneet nopeasti. Tätä ovat edesauttaneet autokannan uusiutuminen ja päästöjen vähennystekniikat sekä HSL:n bussikannan päästöjen väheneminen. Typpidioksidin pitoisuudet ovat laskeneet oletettua hitaammin, mitä selittää muun muassa ilmakemia ja dieselautojen osuuden kasvu. Viime vuosina typpidioksidin pitoisuudet ovat kuitenkin laskeneet selvästi ja raja-arvon ylitysalue pienenee vuosittain.

Vuonna 2019 typpidioksidipitoisuuksien vuosikeskiarvot vaihtelivat Luukin 5 µg/m3 ja Mäkelänkadun 29 µg/m3 välillä. Pitoisuudet eivät ylittäneet vuosiraja-arvoa 40 µg/m3 millään mittausasemalla (kuva 10.3). Vuosikeskiarvot olivat edellisvuotta matalammat Mannerheimintiellä, Kalliossa, Vartiokylässä, Leppävaarassa, Tikkurilassa, Luukissa ja Mäkelänkadulla.

Tammikuun 22. päivänä oli kylmä ja heikkotuulinen pakkassää. Tällöin ilmansaasteiden pitoisuudet kohosivat tavallista korkeammiksi. Liikenteen pakokaasuista peräisin olevan typpidioksidin määrä ylitti raja-arvotason (200 µg/m3, saa ylittyä 18 tuntia vuodessa) kahden tunnin ajan Mäkelänkadulla. Tällöin Mäkelänkadulla mitattiin aseman korkein tuntipitoisuus (244 µg/m3) vuodesta 2015 alkaen, jolloin mittausasema perustettiin. Tammikuun 22. päivä myös tuntiohjearvo (150 µg/m3) ylittyi Mäkelänkadulla 12 tunnin ajaksi. Vuonna 2019 typpidioksidin tuntiraja-arvo ei ylittynyt millään mittausasemalla (taulukko 10.1). Viime vuosina pääkaupunkiseudulla ei ole ollut erityisen voimakkaita typpidioksidiepisodeja (kuva 10.4)

Typpidioksidin korkeimmat vuorokausipitoisuudet vaihtelivat Mäkelänkadun 128 µg/m3:n ja Luukin 29 µg/m3 välillä. Typpidioksidin vuorokausiohjearvo (70 µg/m3, johon verrataan kuukauden toiseksi korkeinta vuorokausipitoisuutta) ei ylittynyt millään mittausasemalla. Ohjearvotason ylittäviä pitoisuuksia mitattiin kuudella mittausasemilla heikkotuulisella pakkassäällä 22. tammikuuta ja Mäkelänkadulla myös 5. huhtikuuta.

Kasvillisuuden ja ekosysteemien suojelemiseksi typenoksideille on annettu myös kriittinen taso 30 µg/m3. Pääkaupunkisedulla ainoastaan Luukissa mitattuja pitoisuuksia voidaan verrata tähän tasoon. Luukin NOx-pitoisuuden vuosikeskiarvo 4 µg/m3 oli selvästi alle kriittisen tason.

Typpidioksidipitoisuuksia kartoitettiin lisäksi passiivikeräinmenetelmällä 44 kohteessa. Näissä mittauspisteissä typpidioksidin vuosipitoisuus ei ylittänyt raja-arvoa (kuva 10.5). Passiivikeräimellä mitattu suurin vuosikeskiarvo oli 38 µg/m³ (Pohjoisesplanadi). Pitoisuudet olivat hieman matalampia kuin edellisvuotena. Satamissa vuosipitoisuudet olivat 16–17 µg/m3. Helsinki-Vantaan lentoaseman Terminaali 1:n luona vuosikeskiarvo oli 25 µg/m3 ja muualla lentokentän autoliikenteen vaikutuspiirissä 20–24 µg/m3. Lentokentän kiitoteiden lähellä pitoisuudet olivat 12 µg/m3. Passiivikeräimillä tehdyistä mittauksista enemmän liitteissä 11.

Kuva 10.1. Haitallisen typpidioksidin pitoisuudet ovat mittausasemilla laskeneet alle raja-arvon.

Kuva 10.2. Typpimonoksidin vuosikeskiarvot ovat laskusuunnassa.

Kuva 10.3. Typpidioksidin pitoisuuksien vuosikeskiarvot suhteessa raja-arvoon vuonna 2019. Pitoisuudet eivät ylittäneet vuosiraja-arvoa millään mittausasemalla.
NO2
µg/m3
Asettaja
Ylitys 2019
Asema
Vuosiraja-arvo
40
vuosikeskiarvo
VN asetus 79/2017
Ei
-
Tuntiraja-arvo
200
saa ylittyä 18 tuntia vuodessa
VN asetus 79/2017
Ei
-
Vuorokausiohjearvo
70
saa ylittyä kerran kuukaudessa
VN päätös 480/1996
Ei
-
Tuntiohjearvo
150
saa ylittää 1 % kuukauden tunneista
VN päätös 480/1996
Kyllä
Mäkelänkatu
Varoituskynnys
400
3 peräkkäistä tuntia
VN asetus 79/2017
Ei
-
Kriittinen taso NOx (kasvillisuus)
30
vuosikeskiarvo
VN asetus 79/2017
Ei
-

Kuva 10.4. Korkeiden typpidioksidin tuntipitoisuuksien lukumäärät Mannerheimintien mittausasemalla vuosina 2005–2019. Lukumäärät on jaoteltu kolmeen eri luokkaan sen mukaan, kuinka suuri pitoisuus on ollut. Viime vuosina pääkaupunkiseudulla ei ole ollut voimakkaita typpidioksidiepisodeja.

Kuva 10.5. Passiivikeräinmenetelmällä mitatut typpidioksidin vuosikeskiarvot (µg/m³) eräissä mittauspaikoissa, joissa seurataan erityisesti mahdollista raja-arvon ylittymistä.

Typpidioksidin raja-arvo voi ylittyä vielä paikoin

Typpidioksidille asetettu vuosiraja-arvo voi yhä ylittyä Helsingin vilkasliikenteisissä katukuiluissa, joissa tuulettuvuus on heikkoa. Liikenteen päästöt, runsas dieselautojen määrä ja ruuhkautuva liikenne ovat pääsyitä korkeille pitoisuuksille. Ylitysalue arvioidaan vuosittain. Arviointiin vaikuttavat myös edellisvuosien mittaustulokset sekä sääolosuhteet.

Helsingissä on noin 200 metriä katuosuuksia, joilla typpidioksidin raja-arvo ylittyy (kuva 10.6 punaiset viivat) ja 5,5 kilometriä katuosuuksia, joilla raja-arvo on vaarassa ylittyä (oranssit viivat). Raja-arvon ylitysalue pieneni kahdella kilometrillä. Edellisvuoteen verrattuna Sörnäisten rantatie muuttui "ylittyy" -alueesta "vaarassa ylittyä" -alueeksi, Mannerheimintie ja Mechelininkatu muuttuivat kokonaan vaarassa ylittyä alueeksi ja Mäkelänkadun "ylittyy" -alue muuttui "vaarassa ylittyä" -alueeksi. Tänä vuonna vain Pohjoisesplanadi kuuluu katuosuuksiin, jossa typpidioksidin vuosiraja-arvo ylittyy. Edellisvuoteen verrattuna ”vaarassa ylittyä” -alue suureni reilulla kilometrillä edellisvuodesta. Tämä johtui siitä, että osa edellisvuoden alueista, joilla raja-arvon ylitysalueista siirtyi "vaarassa ylittyä" -alueiksi.

Typpidioksidin ja hengitettävien hiukkasten raja-arvojen ylittymisen johdosta pääkaupunkiseudulla laadittiin ilmansuojelun toimintaohjelmat pitoisuuksien alentamiseksi ja ilmanlaadun parantamiseksi vuosille 2008–2016. Typpidioksidin raja-arvo tuli saavuttaa vuoteen 2010 mennessä. Ilmansuojeluohjelmien toimenpiteet eivät kuitenkaan vaikuttaneet riittävästi. Suomi sai EU-komissiolta jatkoaikaa raja-arvon alittamiselle vuoden 2014 loppuun asti. Koska raja-arvojen alle ei vielä tuolloinkaan päästy teki Helsinki ilmansuojelusuunnitelman vuosille 2017–2024.

Lue lisää: hel.fi/ilmansuojelu

Otsoni

Korkealla yläilmakehässä otsoni toimii suojakilpenä auringon vaarallista ultravioletti- eli UV-säteilyä vastaan. Sen sijaan lähellä maan pintaa olevassa alailmakehässä ja hengitysilmassa otsoni on ihmisille, eläimille ja kasvillisuudelle haitallinen ilmansaaste. Otsonia muodostuu ilmassa auringonsäteilyn vaikutuksesta hapen, typenoksidien ja haihtuvien orgaanisten yhdisteiden välisissä kemiallisissa reaktioissa. Otsonia ei siis ole päästöissä itsessään. Kaupunkien keskustoissa otsonia on vähemmän kuin esikaupunkialueilla ja maaseudulla, koska otsonia kuluu reaktioissa muiden ilmansaasteiden kanssa. Paikallisesti liikenteen typpimonoksidipäästöt reagoivat otsonin kanssa kuluttaen otsonin katuilmasta lähes kokonaan, samalla syntyy muita haitallisia epäpuhtauksia kuten typpidioksidia. Suomessa otsonipitoisuudet ovat suurimmillaan aurinkoisella säällä keväällä ja kesällä, kun auringon UV-säteily on korkeimmillaan. Otsonin kaukokulkeutuminen muualta Euroopasta kohottaa Suomen pitoisuuksia selvästi.

Otsonipitoisuuden vuosikeskiarvo oli Mäkelänkadulla 43 µg/m3, Vartiokylässä 50 µg/m3, Kalliossa 51 µg/m3 ja Luukissa 51 µg/m3. Pitoisuudet olivat samaa tasoa kuin edellisenä vuotena (kuva 11.1.). Otsonipitoisuudet kohosivat pääkaupunkiseudulla 1990-luvun alussa ja ovat pysyneet siitä lähtien samalla tasolla.

Mäkelänkadun mittaukset aloitettiin 2015, ja vuosikeskiarvo on noussut joka vuosi (36, 37, 38, 42 ja 43 µg/m3). Syynä on pakokaasujen puhdistuminen ja siten otsonia kuluttavien päästöjen väheneminen, jolloin otsonipitoisuudet kasvavat.

Otsonin terveysperusteinen tavoitearvo ei ylittynyt, mutta pitkän ajan tavoitearvo ylittyi Luukissa 23. huhtikuuta sekä Luukissa ja Vartiokylässä 24. ja 25. huhtikuuta. Terveysperusteinen tavoitearvo (120 µg/m³) lasketaan 8 tunnin liukuvana keskiarvona ja ylityksiä saa olla 25/vuosi kolmen vuoden keskiarvona. Pitkän ajan tavoite on, että ylityksiä ei tapahtuisi ollenkaan. Kasvillisuuden suojelemiseksi annettu pitkän aikavälin tavoite ei ylittynyt vuonna 2019 (kuva 11.2. ja taulukko 11.1.)

Kuva 11.1. Otsonin vuosikeskiarvot eri mittausasemilla vuosina 2000–2019. Otsonipitoisuudet eivät ole merkittävästi muuttuneet kymmenen viimeisen vuoden aikana.

Kuva 11.2. Otsonin pitoisuudet vuosina 2014–2018 verrattuina kasvillisuuden suojelemiseksi annettuun tavoitearvoon ja pitkän ajan tavoitteeseen. Pitkän ajan tavoite ylittyi Luukissa vuonna 2018. KA = keskiarvo viideltä vuodelta. (Vuonna 2016 Luukista ei saatu riittävästi dataa tunnuslukujen laskemiseksi.)
O3
µg/m3
Asettaja
Ylitys 2019
Asema
Tiedotuskynnys
180
tuntikeskiarvo
VN asetus 79/2017
Ei
-
Varoituskynnys
240
tuntikeskiarvo
VN asetus 79/2017
Ei
-
Tavoitearvo (terveys)
120
8 tunnin liukuva keskiarvo saa ylittyä 25 kertaa vuodessa kolmen vuoden keskiarvona
VN asetus 79/2017
Ei
-
Pitkän ajan tavoite (terveys)
120
8 tunnin liukuva keskiarvo, ei ylityksiä
VN asetus 79/2017
Kyllä
Vartiokylä, Luukki
Tavoitearvo (kasvillisuus) eli AOT40 -indeksi
18000 µg/m3 h
kesä*, viiden vuoden keskiarvo
VN asetus 79/2017
Ei
-
Pitkän ajan tavoite (kasvillisuus) eli AOT40 -indeksi
6000 µg/m3 h
kesä*, ei ylityksiä
VN asetus 79/2017
Ei
-

Otsonin episoditilanteet

Suomeen kulkeutuu runsaasti otsonia muualta Euroopasta. Korkeimmat pitoisuushuiput havaitaan yleensä aurinkoisina kevät- ja kesäpäivinä, kun ilmavirtaukset saapuvat Keski- ja Itä-Euroopan saasteisilta alueilta. Myös Itä-Euroopan maastopalojen ja peltojen kulotusten päästöt ovat todennäköisesti joskus osasyynä otsoniepisodeihin.

Väestölle tiedottamisen kynnysarvo 180 µg/m3 ei ylittynyt pääkaupunkiseudulla vuonna 2019.

Otsoniepisodeiksi on luokiteltu tilanteet, jolloin 8 tunnin keskiarvopitoisuudet ylittävät 120 µg/m3. Tällaisia tilanteita mitattiin huhtikuussa useana päivänä Luukissa ja Vartiokylässä (kuva 11.3.). Suurimmat tuntikeskiarvot (141–145 µg/m3) mitattiin 24.–25.4. Vartiokylässä ja Luukissa, jolloin ilmanlaatu heikkeni jopa huonoksi. Tiedotus- ja varoituskynnys eivät olleet vaarassa ylittyä.

Kesän aikana ei ollut muualta kulkeutuvan otsonin merkittäviä kaukokulkeumia.

Kuva 11.3. Otsonin pitkän aikavälin tavoitteen (120 µg/m³, 8 h liukuva keskiarvo) ylittävien vuorokausien lukumäärät luokiteltuina pitoisuustason mukaan Luukin mittausasemalla vuosina 2000–2019. Ylitysten määrät ja pitoisuustasot kuvaavat pääosin otsonin kaukokulkeumien kestoa ja voimakkuutta. *Vuonna 2016 ei saatu tarpeeksi dataa.

Rikkidioksidi

Ulkoilmassa oleva rikkidioksidi on pääosin peräisin energiantuotannosta ja laivojen päästöistä. Rikkidioksidipäästöt ovat laskeneet huomattavasti viime vuosikymmenten aikana, joten pitoisuudet ulkoilmassa ovat nykyisin matalia (kuva 12.1). Rikkidioksidi ei ole enää merkittävä ilmanlaadun ongelma pääkaupunkiseudulla. Satamien ja huippulämpökeskusten lähellä esiintyy enää harvoin kohonneita lyhytaikaispitoisuuksia, jotka saattavat haitata lähistön asukkaita.

Pääkaupunkiseudun rikkidioksidipitoisuudet laskivat huomattavasti 1980-luvulla ja 1990-luvun alussa. Mittauksia aloitettaessa 1970-luvulla vuosipitoisuustaso oli yli 30 µg/m3, mutta nyt pitoisuudet ovat enää noin 1 µg/m3. Tärkeimpiä syitä pitoisuuksien laskuun olivat aluksi matalien lähteiden (muun muassa kiinteistökohtainen öljy- ja hiililämmityksen) päästöjen väheneminen. Lisäksi 1980-luvun puolivälistä alkaen voimalaitosten rikinpoistolaitosten rakentaminen, niukkarikkisten polttoaineiden käyttöön siirtyminen ja maakaasun käytön yleistyminen laskivat rikkidioksidipitoisuuksia. Myös laivaliikenteen päästönormit ovat tiukentuneet vuosina 2010 ja 2015. Vuoden 2015 tammikuussa astui voimaan alusten polttoaineen rikkipitoisuuden tiukennus 1 prosentista 0,1 prosenttiin koko Itämerellä, mikä näkyy satamien mittaustuloksissa.

Vuonna 2019 rikkidioksidin pitoisuuksia mitattiin kantakaupungin tausta-asemalla Kalliossa, maaseudun tausta-asemalla Luukissa ja sataman vaikutusalueella Länsisatamassa. Pitoisuudet olivat hyvin matalia ja selvästi raja- ja ohjearvojen alapuolella (taulukko 12.1). Vuosikeskiarvo oli kaikilla mittausasemille alle 1 µg/m3. Korkeimmat mitatut vuorokausiarvot olivat Luukissa 3 µg/m3, Kalliossa 6 µg/m3 ja Länsisatamassa 4 µg/m3.

Korkein tuntipitoisuus oli Luukissa 15 µg/m3, Kalliossa 20 µg/m3 ja Länsisatamassa 24 µg/m3.

Kuva 12.1. Rikkidioksidin vuosikeskiarvot vuosina 2000–2019 eri mittausasemilla. Rikkidioksidin pitoisuudet ovat nykyään alhaisia.
SO2
µg/m3
Asettaja
Ylitys 2019
Asema
Vuorokausiraja-arvo
125
saa ylittyä 3 vrk vuodessa
VN asetus 79/2017
Ei
-
Tuntiraja-arvo
350
saa ylittyä 24 tuntia vuodessa
VN asetus 79/2017
Ei
-
Vuorokausiohjearvo
80
saa ylittyä kerran kuukaudessa
VN päätös 480/1996
Ei
-
Tuntiohjearvo
250
saa ylittää 1 % kuukauden tunneista
VN päätös 480/1996
Ei
-
Varoituskynnys
500
3 peräkkäistä tuntia
VN asetus 79/2017
Ei
-
Kriittinen taso (kasvillisuus)
20
vuosikeskiarvo ja talvikeskiarvo
VN asetus 79/2017
Ei
-

Ilmanlaatu erityiskohteissa

HSY:llä on neljä mittausasemaa, joilla seurataan ilmanlaatua kiinnostavissa erityiskohteissa vuoden jaksoissa. Kohteiden ilmanlaatua seurataan esimerkiksi kaavoituksen, suurien päästömäärien tai heikkojen laimenemisolosuhteiden vuoksi. Vuonna 2019 mittauksia tehtiin Helsingissä Länsisatamassa ja Pirkkolassa, Espoossa Länsiväylän varrella Friisilässä ja Vantaalla Talvikkitiellä. Lisätietoja löytyy liitteistä 10.

Länsiväylä Friisilä

Länsiväylän läheisyydessä Friisilässä mitattiin vuonna 2019 typenoksidien (NO ja NO2), hengitettävien hiukkasten (PM10), pienhiukkasten (PM2,5) ja mustan hiilen (BC) pitoisuuksia. Siirrettävä mittausasema sijaitsi Länsiväylän ja Kuitinmäentien välissä, Finnoonsillan itäpuolella. Mittausaseman ympäristö on avointa ja se tuulettuu hyvin. Mittausympäristön ilmanlaatuun vaikuttivat eniten liikenteen päästöt ja katupöly. Keskimääräinen vuorokausiliikenne vuonna 2019 Länsiväylällä mittausaseman kohdalla oli noin 59 800 ajoneuvoa vuorokaudessa (Väylävirasto 2020).

Mittausten avulla selvitettiin, kuinka korkeiksi pitoisuudet nousevat pääväylän välittömässä läheisyydessä. Asukkaat eivät altistu jatkuvasti näin korkeille pitoisuuksille. Tuloksia käytetään kehitettäessä pölyntorjuntaa pääväylillä, pölynsidonnan tarpeellisuuden arvioinnissa sekä taustatietona kaupunkisuunnittelussa.

Vuonna 2019 typpidioksidin pitoisuudet pysyivät Länsiväylällä Friisilässä raja-arvojen alapuolella. Typpidioksidin vuosikeskiarvo oli 16 µg/m3, joka on hieman vähemmän kuin pysyvillä mittausasemilla vilkasliikenteisissä keskuksissa Leppävaarassa ja Tikkurilassa. Typpidioksidin korkein tuntipitoisuus oli 91 µg/m3 ja korkein vuorokausipitoisuus oli 64 µg/m3. Typenoksidien pitoisuudet noudattivat liikenteen rytmiä, aamuruuhkassa pitoisuudet nousivat ja laskivat iltapäivällä (kuva 13.1). Illalla paluuliikenne nosti pitoisuuksia uudelleen. Liikenteellä onkin suuri vaikutus Länsiväylän Friisilän ilmanlaatuun.

Hengitettävien hiukkasten vuosikeskiarvo oli 17 µg/m3, mikä on saman verran kuin Leppävaarassa. Hengitettävien hiukkasten korkein vuorokausipitoisuus oli 145 µg/m3 ja suurin tuntipitoisuus oli 437 µg/m3. Hengitettävien hiukkasten vuorokausiraja-arvotason ylityksiä kertyi vuoden aikana 22 kpl, yksi helmikuussa, viisi maaliskuussa, 15 huhtikuussa ja yksi marraskuussa. Varsinainen raja-arvo ei ylittynyt, sillä raja-arvotason ylityksiä sallitaan 35 kpl vuodessa. Vuorokausiohjearvotaso (kuukauden 2. suurin arvo yli 70 µg/m3) ylittyi maaliskuussa ja huhtikuussa. WHO:n vuorokausiohjearvo (pitoisuus 50 µg/m3 , saa ylittyä kolme kertaa vuodessa) ylittyi selvästi.

Pienhiukkasten vuosikeskiarvo oli 7 µg/m3, mikä on selvästi alle vuosiraja-arvon ja WHO:n vuosiohjearvon. WHO:n vuorokauden ohjearvotaso (25 µg/m3) ylittyi kaksi kertaa huhtikuussa ja kerran marraskuussa. Tämä taso saa kuitenkin ylittyä kolme kertaa vuodessa ennen kuin varsinainen ohjearvo ylittyy. Korkein vuorokausipitoisuus oli 29 µg/m3 ja korkein tuntipitoisuus oli 58 µg/m3.

Länsiväylällä Friisilässä mitattiin myös mustan hiilen (BC) pitoisuuksia. Mustan hiilen vuosikeskiarvo oli 0,5 µg/m3 ja korkein tuntipitoisuus 9 µg/m3. Pitoisuudet eivät olleet yhtä korkeita kuin esimerkiksi Mäkelänkadulla. Mäkelänkadun mittausasemalla vilkasliikenteisessä katukuilussa vuosikeskiarvo oli 0,8 µg/m3 ja Luukin tausta-asemalla 0,2 µg/m3. Mäkelänkadulla mitattu korkein tuntipitoisuus oli 11 µg/m3.

Ilmanlaatuindeksin perusteella arvioituna ilmanlaatu oli Länsiväylän varrella Friisilässä 73 % hyvä, 22 % tyydyttävä ja 3 % ajasta välttävä (kuva 13.2). Huonon ja erittäin huonon ilmanlaadun tunteja oli 2 %. Huonot ilmalaadun tunnit johtuivat pääasiassa hengitettävistä hiukkasista eli katupölystä. Maaliskuussa ilmanlaatu oli Friisilässä huonoa ja erittäin huonoa useammmin kuin muilla mittausasemilla.

Kuva 13.1. Ilmansaasteiden pitoisuuksien vuorokausivaihtelu vuonna 2019 Friisilässä. BC*10 = Kymmenkertainen mustan hiilen pitoisuus.

Kuva 13.2. Ilmanlaadun jakautuminen eri laatuluokkiin Friisilän mittausasemalla vuoden 2019 aikana.

Länsisatama

Länsisataman siirrettävällä mittausasemalla mitattiin vuonna 2019 typenoksidien (NO ja NO2), hengitettävien hiukkasten (PM10), pienhiukkasten (PM2,5), rikkidioksidin (SO2), mustan hiilen (BC) ja hiukkasten keuhkodeposoituvan pinta-alan (LDSA) pitoisuuksia. Mittausasema sijaitsi Tyynenmerenkadulla aivan Länsiterminaali 1:n vieressä. Mittausympäristö on melko avoin ja tuulettuva. Mittauksilla selvitettiin satamatoiminnan vaikutusta ilmanlaatuun. Länsisatama on Suomen vilkkain matkustajasatama. Laivaliikenne Länsisatamasta Tallinnaan ja Pietariin on vilkasta. Mitattuihin pitoisuuksiin vaikuttivat pääasiassa vilkas autoliikenne, sataman maaliikenne, laivaliikenteen päästöt sekä kaukokulkeuma. Pitoisuuksiin vaikuttavat osaltaan myös Jätkäsaaren rakentamistyömaat ja läheinen katutyömaa. Mitattuihin rikkidioksidin pitoisuuksiin voi vaikuttaa hieman energiantuotanto. Mittaustulokset kuvaavat tasoa, jolle ihmiset altistuvat Länsisataman vaikutusalueella.

Vuonna 2019 Länsisataman mittausaseman typpidioksidin pitoisuuden vuosikeskiarvo oli 16 µg/m3, mikä on samaa tasoa kuin edellisenä vuonna Eteläsataman mittausasemalla. Typpidioksidin raja- ja ohjearvot alittuivat selvästi Länsisatamassa. Suurin vuorokausiarvo 53 µg/m3 mitattiin 22. tammikuuta ja suurin tuntiarvo 112 µg/m3 mitattiin 27. huhtikuuta. Pitoisuuksien nousu aamulla ja klo 16 näkyy mittauksissa erittäin selvästi, mikä liittyy laivojen aikatauluihin ja laivoille tulevan ja poistuvan liikenteen rytmiin (kuva 13.3).

Vuonna 2010 ja 2015 tapahtuneen laivaliikenteen päästönormien tiukentumisen seurauksena, kun alusten polttoaineen rikkipitoisuutta tiukennettiin, on satamien mittaustuloksissa näkynyt rikkipitoisuudessa laskua. Vuonna 2019 Länsisataman rikkidioksidipitoisuuden vuosikeskiarvo oli hieman alle 1 µg/m3, kun vuosina 2008–2014 eri satamissa tehdyissä mittauksissa vuosipitoisuudet olivat tasoa 3–7 µg/m3. Rikkidioksidipitoisuudet olivat vuonna 2019 selvästi raja- ja ohjearvojen alapuolella. Suurin vuorokausipitoisuus 4 µg/m3 mitattiin 21. tammikuuta ja suurin tuntipitoisuus 24 µg/m3 mitattiin 3. maaliskuuta.

Hengitettävien hiukkasten pitoisuuksien vuosikeskiarvo oli 10 µg/m3, mikä on samaa tasoa kuin Kallion kantakaupungin tausta-asemalla mitatut pitoisuudet. Länsisataman hengitettävien hiukkasten pitoisuudet eivät ylittäneet raja- tai ohjearvoja. Länsisatamassa ei myöskään tapahtunut vuorokausiraja-arvotason ylityksiä hengitettävien hiukkasten osalta. Korkein vuorokausipitoisuus 47 µg/m3 mitattiin 22. maaliskuuta ja korkein tuntipitoisuus 121 µg/m3 mitattiin 6. marraskuuta.

Pienhiukkasten vuosikeskiarvo oli 5 µg/m3. Pitoisuudet olivat selvästi alle vuosiraja-arvon ja WHO:n vuosiohjearvon. Korkein vuorokausipitoisuus 19 µg/m3 mitattiin 25. huhtikuuta ja korkein tuntipitoisuus 31 µg/m3 mitattiin 10. kesäkuuta.

Mustan hiilen vuosikeskiarvo oli Länsisataman mittauspisteessä 0,5 µg/m3. Korkein tuntipitoisuus oli 23 µg/m3 ja korkein vuorokausipitoisuus 1,8 µg/m3. Länsisataman korkein tuntipitoisuus oli suurempi kuin muilla mittausasemilla. Mäkelänkadun mittausasemalla vilkasliikenteisessä katukuilussa vuosikeskiarvo oli 0,8 µg/m3 ja korkein tuntipitoisuus oli 11 µg/m3.

Hiukkasten LDSA:n vuosikeskiarvo oli 10 µm²/cm³. Korkein vuorokausipitoisuus oli 27 µm²/cm³ ja korkein tuntipitoisuus oli 82 µm²/cm³. Pitoisuudet vastaavat samaa tasoa kuin Kallion kaupunki tausta-asemalla on mitattu.

Ilmanlaatuindeksin perusteella arvioituna ilmanlaatu oli Länsisataman mittauspisteessä 81 % ajasta hyvä, 18 % ajasta tyydyttävä ja noin 1 % ajasta välttävä (kuva 13.4). Vuoden aikana huonoja ilmanlaadun tunteja oli 12 ja erittäin huonon ilmanlaadun tunteja ei havaittu lainkaan. Huonot ilmanlaadun tunnit johtuivat hengitettävistä hiukkasista eli katupölystä.

Pitoisuuksien vuorokausivaihtelu Länsisatamassa vuonna 2019.
Kuva 13.3. Ilmansaasteiden pitoisuuksien vuorokausivaihtelu Länsisatamassa vuonna 2019. BC* = Mustan hiilen kymmenkertainen pitoisuus.

Kuva 13.4. Ilmanlaadun jakautuminen eri laatuluokkiin Länsisataman mittausasemalla vuoden 2019 aikana.

Talvikkitie Tikkurila

Vantaan Tikkurilan Talvikkitien siirrettävällä mittausasemalla mitattiin vuonna 2019 typenoksidien (NO ja NO2), hengitettävien hiukkasten (PM10) ja pienhiukkasten (PM2.5) pitoisuuksia. Talvikkitien mittausaseman läheisyydessä sijaitsee myös Vantaan Tikkurilan pysyvä mittausasema. Mittauksilla selvitettiin ilmanlaadun alueellista vaihtelua vilkasliikenteisessä aluekeskuksessa. Asemalla mitatut pitoisuudet edustavat tasoa, jolle ihmiset altistuvat Vantaan vilkasliikenteisen keskustan alueella.

Talvikkitien mittausasemalla typpidioksidin raja- ja ohjearvot alittuivat. Typpidioksidin pitoisuuden vuosikeskiarvo oli 16 µg/m3. Suurin vuorokausiarvo 89 µg/m3 mitattiin 22. tammikuuta ja suurin tuntipitoisuus 148 µg/m3 mitattiin samana päivänä. Pitoisuudet olivat hieman pienempiä kuin Tikkurilan pysyvällä mittausasemalla mitatut. Typenoksidien pitoisuuksien vuorokausivaihtelussa on huomattavissa liikenteen vaikutus varsinkin arkiaamuisin (kuva 13.5).

Hengitettävien hiukkasten vuosikeskiarvo oli 13 µg/m3. Korkein tuntipitoisuus 253 µg/m3 mitattiin 23. huhtikuuta katupölykaudella. Korkein mitattu vuorokausipitoisuus 83 µg/m3 osui myös katupölykaudelle (5. huhtikuuta). Hengitettävien hiukkasten vuorokausiraja-arvotason ylityksiä kertyi yhdeksän, näistä kaksi oli helmikuussa, yksi maaliskuussa, viisi huhtikuussa ja yksi marraskuussa. Hengitettävien hiukkasten vuorokausiohjearvo ylittyi huhtikuussa. Pitoisuudet olivat pienempiä kuin Tikkurilan pysyvällä vilkasliikenteisen keskuksen mittausasemalla. Tikkurilan pysyvällä asemalla oli hengitettävien hiukkasten vuorokausiraja-arvotason ylityksiä vuoden aikana 13.

Pienhiukkasten vuosikeskiarvo oli 6 µg/m3. Talvikkitien mittausasemalla mitatut pitoisuudet olivat selvästi alle vuosiraja-arvon ja WHO:n vuosiohjearvon. Korkein vuorokausipitoisuus 32 µg/m3 mitattiin 22. tammikuuta ja korkein tuntipitoisuus 59 µg/m3 mitattiin samana päivänä. Tikkurilan pysyvällä mittausasemalla pitoisuudet olivat korkeampia. Tikkurilan vuosikeskiarvo oli 7 µg/m3 ja korkein tuntipitoisuus oli 69 µg/m3.

Ilmanlaatuindeksin perusteella arvioituna ilmanlaatu oli Talvikkitien mittausasemalla 76 % ajasta hyvä, 20 % ajasta tyydyttävä ja 3 % ajasta välttävä (kuva 13.6). Noin yksi prosentti ilmanlaadusta oli huonoa ja erittäin huonon ilmanlaadun tunteja oli 3. Huonot ja erittäin huonot tunnit johtuivat pääasiassa hengitettävistä hiukkasista eli katupölystä, pari tuntia aiheutui myös pienhiukkasista. Tikkurilan pysyvällä mittausasemalla myös suurin osa huonoista ja erittäin huonoista tunneista aiheutui hengitettävistä hiukkasista.

Kuva 13.5. Ilmansaasteiden pitoisuuksien vuorokausivaihtelu vuonna 2019 Talvikkitiellä.

Kuva 13.6. Ilmanlaadun jakautuminen eri laatuluokkiin Talvikkitien mittausasemalla vuoden 2019 aikana.

Pirkkola

Helsingin Pirkkolan pientaloalueella mitattiin vuonna 2019 typenoksidien (NO ja NO2), hengitettävien hiukkasten (PM10), pienhiukkasten (PM2,5), mustan hiilen (BC), polysyklisten aromaattisten hiilivetyjen (PAH) ja hiukkasten lukumäärä ja hiukkasten keuhkodeposoituvan pinta-alan (LDSA) pitoisuuksia.

Pirkkolan siirrettävän mittausaseman lähiympäristössä oli runsaasti pientaloasutusta ja alueen kadut olivat vähäliikenteisiä. Mittauksilla selvitettiin pientaloalueiden ilmanlaatua ja tulokset kuvaavat tasoa, jolle ihmiset altistuvat asuessaan Helsingissä vanhalla pientaloalueella. Pientaloalueiden ilmanlaatuun vaikuttavat yleensä tulisijojen käyttö ja katujen pölyisyys. Tulisijojen käyttö on seudulla usein satunnaista lisälämmitystä, mutta koska asuinalueet ovat kaupunkialueilla tiiviitä, voi lähinaapurille koituva savuhaitta olla merkittävä. Paikalliseen ilmanlaatuun vaikuttavat ratkaisevasti myös maastonmuodot ja sääolot, joiden vuoksi ilmanlaatu voi heiketä paikallisesti etenkin kylminä ja heikkotuulisina päivinä.

Pirkkolan mittausasemalla typpidioksidin pitoisuuden vuosikeskiarvo oli 13 µg/m3. Pitoisuudet eivät ylittäneet ilmanlaadun raja- ja ohjearvoja. Korkein tuntipitoisuus 164 µg/m3 ja korkein vuorokausipitoisuus 96 µg/m3 mitattiin 22. tammikuuta. Typenoksidien pitoisuuksien vuorokausivaihtelussa on huomattavissa liikenteen vaikutus varsinkin arkiaamuisin (kuva 13.7).

Hengitettävien hiukkasten vuosikeskiarvo oli 11 µg/m3. Pitoisuudet eivät ylittäneet raja- tai ohjearvoa. Korkein tuntipitoisuus 247 µg/m3 mitattiin 5. huhtikuuta katupölykaudella ja korkein vuorokausipitoisuus 50 µg/m3 mitattiin samana päivänä.

Pienhiukkaspitoisuuksien vuosikeskiarvo oli 6 µg/m3. Pirkkolassa mitatut pitoisuudet olivat alle vuosiraja-arvon ja WHO:n vuosiohjearvon. Korkein vuorokausipitoisuus 25 µg/m3 mitattiin 22. tammikuuta.

Mustan hiilen vuosikeskiarvo oli 0,6 µg/m3. Korkein vuorokausipitoisuus 9 µg/m3 ja korkein tuntipitoisuus 23 µg/m3 mitattiin 22. tammikuuta. Puunpolton vaikutus näkyi lievänä pienhiukkasten ja mustan hiilen pitoisuuksien nousuna iltaisin (kuva 13.7).

Pirkkolan bentso(a)pyreenin vuosikeskiarvo oli 0,5 ng/m3. Kuukausikeskiarvot vaihtelivat 1,2 ng/m3:n ja 0,3 ng/m3:n välillä. Puunpoltto nosti bentso(a)pyreenin pitoisuuksia erityisesti lämmityskaudella. Kuukausipitoisuudet olivat samaa tasoa kuin Paloheinän pientaloalueella. Vartiokylässä mitatut bentso(a)pyreenin kuukausipitoisuudet olivat matalampia kuin Pirkkolassa.

LDSA:n vuosikeskiarvo oli 10 µm²/cm³. Korkein vuorokausipitoisuus 63 µm²/cm³ ja korkein tuntipitoisuus 119 µm²/cm³ mitattiin 22. tammikuuta. Yleisesti LDSA-pitoisuuksien kellonaikavaihtelussa näkyi selvästi liikenteen päästöt erityisesti aamuisin ja iltaisin myös puunpolton päästöt.

Ilmanlaatuindeksin perusteella arvioituna ilmanlaatu oli Pirkkolan mittausasemalla 86 % mitatusta ajasta hyvä, 14 % tyydyttävä, 1 % välttävä ja alle prosentin huonoa (kuva 13.8). Erittäin huonoja tunteja mitattiin vain yksi Pirkkolassa. Erittäin huonot ja huonot tunnit johtuivat pääasiassa hengitettävistä hiukkasista eli katupölystä.

Kuva 13.7. Ilmansaasteiden pitoisuuksien vuorokausivaihtelu Pirkkolassa vuonna 2019. BC*=Mustan hiilen kymmenkertainen pitoisuus.

Kuva 13.8. Ilmanlaadun jakautuminen eri laatuluokkiin Pirkkolan mittausasemalla vuoden 2019 aikana.

Säätila

Ilmatieteen laitoksen mukaan vuosi 2019 oli lähes asteen tavanomaista lämpimämpi (Ilmatieteen laitos 2020 a). Vuosi oli Suomen etelärannikolla useammalla havaintoasemalla mittaushistorian kolmen lämpimimmän joukossa. Koko maan keskilämpötila oli noin 0,9 astetta vuosien 1981–2010 keskiarvoa korkeampi. Vuosisadanta oli pääosin tavanomaista tai tavanomaista suurempaa. Yleisin tuulensuunta oli lounas kuten tyypillisesti (kuva 14.1).

Vuosi 2019 alkoi lumipeitteisenä (10 cm), ja tammi–helmikuun vaihteessa pääkaupunkiseudulla oli jopa 50–60 cm lunta. Lumipeite säilyi lähes maaliskuun loppuun saakka. Tammikuun keskilämpötila pääkaupunkiseudulla oli -4,6 °C, mikä on 0,7 astetta pitkänajan (1981–2010) keskiarvoa kylmempi (kuva 14.1). Tammikuussa lämpötila vaihteli nollan molemmin puolin. Tammikuun 22. päivänä oli heikkotuulinen inversiotilanne. Inversiotilannetta edelsi kova pakkaspiikki.

Helmikuussa Föhn-tuulen vaikutuksesta eteläisessä Suomessa kuukauden keskilämpötila oli paikoitellen kuusi astetta korkeampi kuin tavallisesti (Ilmatieteen laitos 2020 b). Helmikuussa Kaisaniemessä lämpötila oli noin viisi astetta vertailujaksoa (1981–2010) korkeampi (kuva 14.1). Kevättalvi oli tavanomaista lämpimämpi ja leudompi koko Suomessa.

Huhtikuussa satoi tavanomaista vähemmän ja toukokuussa Kaisaniemessä sademäärät olivat melkein kaksinkertaiset vertailuajanjakson kesimääräisiin sademääriin nähden (kuva 14.1). Kesäkuussa oli taas harvinaisen kuivaa.

Joulukuu oli huomattavasti tavanomaista lauhempi ja sateisempi (Ilmatieteenlaitos 2020 a). Keskilämpötila oli joulukuussa 3–6 astetta tavanomaista korkeampi, mikä toistuu keskimäärin kerran 10–30 vuodessa. Kuitenkin edellinen lämpimämpi joulukuu oli etelässä vuonna 2017. (Ilmatieteen laitos 2020 c)

Terminen kevät, jolloin vuorokauden keskilämpötila nousee pysyvästi yli nollan, alkoi pääkaupunkiseudulla 14.3.2019 eli lähes kaksi viikkoa keskimääräistä aiemmin (Ilmatieteenlaitos 2020 d). Vuonna 2019 terminen kasvukausi alkoi pääkaupunkiseudulla 16.4. ja päättyi 26.10. Terminen kasvukausi alkaa keväällä, kun vuorokauden keskimääräinen lämpötila nousee pysyvästi yli +5 asteen. Syksyllä terminen kasvukausi päättyy, kun vuorokauden keskimääräinen lämpötila laskee alle +5 asteen.

Inversio
Inversio syntyy useimmiten selkeän ja tyynen yön aikana, jolloin maanpinnan lähellä oleva ilma jäähtyy korkeammalla olevaa ilmaa kylmemmäksi. Normaalisti tilanne on päinvastainen. Inversiotilanteessa liikenteen päästöt kertyvät hengitysilmaan, koska ne eivät pääse sekoittumaan ja laimenemaan pystysuunnassa. Kylminä pakkaspäivinä inversiotilanne voi kestää pitkään, kun taas muulloin auringon lämpö lopettaa inversiotilanteen yleensä aamuruuhkan jälkeen.

Kuva 14.2. Keskilämpötila kuukausittain ja vuosikeskiarvoina 2019 sekä vertailujaksolla 1981–2010 Ilmatieteen laitoksen mittauspisteissä (Ilmatieteen laitos 2020 e).

Kuva 14.3. Sademäärä kuukausittain ja vuosikeskiarvoina 2019 sekä vertailujaksolla 1981–2010 Ilmatieteen laitoksen mittauspisteissä (Ilmatieteen laitos 2020 e).

Päästöt

Merkittävimmät ilmansaasteiden päästölähteet pääkaupunkiseudulla ovat tieliikenne, puunpoltto tulisijoissa ja energiantuotanto. Vuonna 2019 rikkidioksidin päästöt vähenivät noin 6 %, typenoksidien päästöt 8 % ja hiukkaspäästöt 1 % edelliseen vuoteen verrattuna (taulukko 15.1 ja kuva 15.1). Liitteessä 17 on vuoden 2019 päästöt kunnittain.

Pitkällä aikavälillä päästöt ovat laskeneet huomattavasti. Tässä vuosiraportissa kuvaajat on pääasiassa piirretty vuosille 2000–2018. Liitteissä 18 ja 19 on liikenteen ja energiantuotannon päästöjen aikasarjat. Pidempiä aikasarjoja löytyy aiemmista vuosiraporteista sekä osoitteesta hsy.fi/paastotrendit.

Vaikutukset ilmanlaatuun
-Autoliikenteellä on suuri vaikutus ilmanlaatuun, koska pakokaasupäästöt vapautuvat hengityskorkeudelle. Lisäksi tieliikenteen epäsuorat päästöt liittyvät autojen ilmaan nostattamaan katupölyyn.
-Työmaat aiheuttavat erityisesti pölyhaittoja.
-Tulisijojen päästöt voivat ajoittain heikentää ilmanlaatua merkittävästi pientalovaltaisilla asuinalueilla.
-Laivaliikenne voi aiheuttaa hetkittäin korkeita pitoisuuksia satamien lähialueilla.
-Energiantuotannon päästöt vapautuvat korkeista piipuista, joten niillä on melko vähäinen vaikutus hengitysilman laatuun.
-Teollisuutta on pääkaupunkiseudulla vain vähän, joten sen osuus alueen kokonaispäästöistä on pieni. Teollisuuden päästöt aiheuttavat kuitenkin toisinaan paikallisia ongelmia, kuten haju- ja pölyhaittoja.
-Kasvihuonekaasupäästöt eivät vaikuta hengitysilman laatuun, ja niistä HSY laatii vuosittain erillisen raportin.‍


SO2
%
NOx
%
Hiukkaset
%
CO
%
VOC
%
Energiantuotanto
3433
96
5038
48
97
30
333 1)
4
193 1)
14
Pienet pistelähteet 1)
15
0
143
1
5
2
183
2
172
13
Puunpoltto tulisijoissa 2)
55
1
124
39
2619
29
280
21
Liikenteen pakokaasut
Tieliikenne 3)
5
0
3268
31
85 4)
27
4758
53
566
42
Satamat 1)
38
1
1152
11
7
2
139
2
67
5
Lentoliikenne
70
2
825
8
1
0
911
10
76
6
Yhteensä
3561
100
10480
100
320
100
8942
100
1354
100

1) Ympäristöhallinnon VAHTI-tietojärjestelmään raportoidut päästötiedot v. 2018 ELY:n valvomista laitoksista. Energiantuotannon, satamien ja lentoliikenteen päästötiedot saadaan suoraan toiminnanharjoittajilta paitsi energiantuotannon CO- ja VOC-päästötiedot, jotka ovat Vahdista. (Uudenmaan ELY-keskus 2020)
2) Puunpolton päästöarvio vuodelle 2018 (Ohtonen ym. 2020, HSY:n julkaisuja 1/2020)
3) LIPASTO -laskentajärjestelmällä arvioidut päästöt (ennakkotiedot Eckhardt, J. 2020)
4) Lisäksi liikenteen ei-pakokaasuperäisiä hiukkaspäästöjä arviolta 600–1500 t/a (Kupiainen ym. 2015)
- arvio puuttuu

Kuva 15.1. Pääkaupunkiseudun päästöjen kehittyminen 2000–2019. Tieliikenteen päästölaskenta uusiutui 2015. Pienissä pistelähteissä ovat mukana vain VAHTI:iin ilmoitetut päästöt. Lentoliikenteen päästötietoja on ollut käytettävissä 2002 alkaen. Puunpoltto tulisijoissa tuli laskentaan mukaan 2014.

Energiantuotanto ja muut pistelähteet

Energiantuotanto

Suurin osa pääkaupunkiseudun energiantuotannon päästöistä tulee voimalaitoksista. Lämpökeskuksia käytetään yleisimmin talvella lisälämmön tuotantoon. Energiantuotannon päästöt purkautuvat korkeista piipuista, joten ne leviävät laajalle alueelle eivätkä yleensä aiheuta paikallisesti korkeita pitoisuuksia. Pääkaupunkiseudulla sähköenergia ja kaukolämpö tuotetaan pääosin yhteistuotantona, jolloin polttoainetta säästyy ja päästöjä jää syntymättä noin 40% verrattuna siihen, että sähkö ja lämpö tuotettaisiin erikseen.

Pääkaupunkiseudulla on kolme energiantuotantoyhtiötä: Helen Oy, Fortum Power and Heat Oy (tässä raportissa Fortum Espoo) ja Vantaan Energia Oy. Yhtiöillä on alueella kuusi sähkön ja lämmön yhteistuotantovoimalaitosta, Kellosaaren kaasuturbiinilaitos ja 22 lämpökeskusta (kuva 15.1).

Energiantuotannon osuus pääkaupunkiseudun vuoden 2019 rikkidioksidipäästöistä oli 96 %, typenoksidien päästöistä 48 % ja hiukkaspäästöistä 30 % (taulukko 15.1). Vuonna 2019 energiantuotanto pääkaupunkiseudulla väheni hiukan (4 %) verrattuna edelliseen vuoteen. Energiantuotanto väheni 6 % edellisten kymmenen vuoden keskiarvoon verrattuna (kuva 15.2).

Vuonna 2019 energiantuotantoon käytetyistä polttoaineista suurin osa oli edelleen kivihiiltä ja maakaasua ( 54 % ja 34 %). Bioöljyn, biokaasun, hakkeen, pellettien, turpeen ja yhdyskuntajätteen osuus oli yhteensä 12 %. Öljyn osuus oli 1 %. Vuoteen 2018 verrattuna kivihiilen kulutus väheni 2 % ja maakaasun kulutus väheni 15 %. Öljyn kulutus väheni 18 %. Bioöljyn, biokaasun, hakkeen, pellettien, turpeen ja yhdyskuntajätteen yhteenlaskettu kulutus kasvoi 32 %. (Helen Oy 2020; Fortum Espoo 2020; Vantaan Energia 2020)

Energiantuotannon päästöt ja ominaispäästöt vaihtelevat vuosittain (kuva 15.3). Edellisvuoteen verrattuna pääkaupunkiseudun typenoksidipäästöt vähenivät 10 %, rikkidioksidipäästöt 7 % ja hiukkaspäästöt 23 %. Verrattuna edellisen 10 vuoden keskiarvoihin rikkidioksidipäästöt olivat 19 %, typenoksidipäästöt 26 % ja hiukkaspäästöt 43 % pienemmät. Energiatuotannon päästöjen vähentymiseen vaikuttavat kiristyvät päästörajat, kehittyvät poltto- ja puhdistustekniikat sekä polttoainemuutokset. Pitkällä aikavälillä merkittävä muutos oli rikinpoistolaitosten käyttöönotto 1980-luvulla. Vuosittaiset muutokset johtuvat mm. sääolosuhteista ja sitä kautta lämmitystarpeesta sekä vesivoiman saatavuudesta. Merkittäviä tekijöitä ovat myös yhteispohjoismainen sähköntuotantorakenne ja päästöoikeuksien hinta.

Helen Oy:n energiantuotanto väheni 4 % edellisestä vuodesta. Typenoksidipäästöt vähenivät 9 %, rikkidioksidipäästöt 8 % ja hiukkaspäästöt 41 % edellisvuoteen verrattuna. Verratessa edellisen 10 vuoden keskiarvoon rikkidioksidipäästöt olivat 11 %, typenoksidipäästöt 23 % ja hiukkaspäästöt 54 % pienemmät. (Helen Oy 2020)

Fortum Espoon energiantuotanto kasvoi 2 % edellisestä vuodesta. Rikkidioksidipäästöt kasvoivat 15 %, typenoksidipäästöt vähenivät 19 % ja hiukkaspäästöt kasvoivat 14 % edelliseen vuoteen verrattuna. Edellisten 10 vuoden keskiarvoon verrattaessa rikkidioksidipäästöt olivat 7 %, typenoksidipäästöt 32 % ja hiukkaspäästöt 21 % pienemmät. (Fortum Espoo 2019)

Vantaan Energian energiantuotanto väheni 7 % edellisestä vuodesta. Rikkidioksidipäästöt vähenivät 55 % ja typenoksidipäästöt kasvoivat 2 % edellisvuoteen verrattuna. Hiukkaspäästöt kasvoivat 33 % edellisvuoteen verrattuna. Edellisen 10 vuoden keskiarvoon verrattaessa rikkidioksidipäästöt olivat kuitenkin 69 %, typenoksidipäästöt 27 % ja hiukkaspäästöt 39 % pienemmät. (Vantaan Energia 2020)

Kuva 15.1. Voimalaitosten ja lämpökeskusten sijainnit pääkaupunkiseudulla. Voimalaitokset on merkitty kuvaan violeteilla neliöillä ja lämpökeskukset oransseilla ympyröillä.

Kuva 15.2. Energiantuotannon kehittyminen vuosina 2000–2019. Tuotantolukuihin on laskettu yhteen tuotettu nettosähkö- ja nettokaukolämpöenergia. Vaakasuoralla viivalla on kuvattu vuosien 2009–2018 keskiarvo.

Kuva 15.3. Energiantuotannon päästöjen ja ominaispäästöjen kehitys vuodesta 2000 alkaen. Vaakasuoralla viivalla on kuvattu päästöjen edellisen 10 vuoden keskiarvo. Ominaispäästöt on laskettu jakamalla päästöt tuotetulla energialla.

Pienet pistelähteet

Pienillä pistelähteillä tarkoitetaan tässä ympäristöhallinnon VAHTI-/YLVA -järjestelmään raportoituja vuoden 2018 päästöjä. Järjestelmään raportoidaan ympäristölupavelvollisten laitosten päästöjä, joita ovat esimerkiksi kaatopaikkakaasulaitokset, jätevedenpuhdistamot, lääketehtaat, painolaitokset, pakkausteollisuus, maalaamot, polttoainevarastot, louhinta ja murskausalueet sekä asfalttiasemat. Pääkaupunkiseudulla on melko vähän lupavelvollisia laitoksia, mutta matalan päästökorkeuden takia niillä voi olla paikallisia vaikutuksia ilmanlaatuun.

Päästöarvio
Pienet pistelähteet sisälsivät vuosina 2007–2014 myös kunnille ilmoitetut muut ympäristölupavelvolliset pistelähteet. Tässä vuosiraportissa raportoidaan pienistä pistelähteistä vain ympäristöhallinnon VAHTI-järjestelmään raportoidut päästöt. Tässä esitetyt VAHTI-päästötiedot ovat vuodelta 2018 (Uudenmaan ELY-keskus 2020). Kauniaisissa ei ole merkittäviä pieniä pistelähteitä.

Liikenne

Tieliikenne

Tieliikenteen päästöissä on mukana autojen, moottoripyörien, mopojen ja mopoautojen päästöt. Tieliikenteestä aiheutuvia merkittävimpiä suoria pakokaasupäästöjä ovat hiukkaset, typenoksidit, hiilimonoksidi ja haihtuvat orgaaniset yhdisteet (VOC), jotka ovat pääosin hiilivetyjä (HC).

Pakokaasupäästöt ovat 2000-luvulla laskeneet teknisen kehityksen myötä liikenteen kasvusta huolimatta. Vuonna 2007 pitkään jatkunut kasvu tieliikenteen liikennesuoritteessa (ajetut kokonaiskilometrit vuodessa) pysähtyi ja suorite lähti laskemaan, mutta vuodesta 2014 alkaen se on taas lähtenyt kasvuun (kuva). Muutokset päästökertoimissa ja suoritearvioissa vaikuttavat osittain lukuihin. Suorien pakokaasupäästöjen lisäksi liikenne nostattaa ilmaan teiden pinnalta erikokoisia hiukkasia (resuspensio). Ne ovat peräisin mm. asfaltin kulumisesta ja hiekoitussepelistä sekä renkaiden ja jarrujen kulumatuotteista.

Tieliikenteen pakokaasut tuottivat pääkaupunkiseudun typenoksidipäästöistä noin 30 % ja hiukkaspäästöistä 27 %. Hiilivetypäästöistä pääkaupunkiseudulla noin 42 % ja häkäpäästöistä noin 53 % tulee tieliikenteestä (taulukko 15.1).

Liikennesuorite vuonna 2019 oli pääkaupunkiseudun yleisillä teillä ja kaduilla 6258 miljoonaa ajoneuvokilometriä. Henkilöautojen osuus liikennesuoritteesta oli 79 %, paketti- ja kuorma-autojen yhteensä 15 %, linja-autojen 2 % ja moottoripyörien, mopojen ja mopoautojen yhteensä noin 4 %. Tarkemmin tarkasteltuna suurimmat osuudet vuoden 2019 liikennesuoritteesta olivat katalysaattoreilla varustetuilla bensiinikäyttöisillä henkilöautoilla (45 %) sekä dieselkäyttöisillä henkilöautoilla (33 %). (Eckhardt 2020)

Kupiaisen ym. (2015) tekemän suuntaa-antavan arvion mukaan pääkaupunkiseudun liikenteen ei-pakokaasuperäisten hiukkasten päästöt olivat vuosina 2008–2012 PM2,5-kokoluokassa noin 100–165 t/v ja PM10-kokoluokassa noin 600–1150 t/v. Vuonna 2019 liikenteen suorat pakokaasun hiukkaspäästöt olivat 85 tonnia, joten sekä pakokaasujen että katupölyn hiukkasilla on erittäin merkittävä vaikutus ilmanlaatuun pääkaupunkiseudulla.

Päästöarvio
Pääkaupunkiseudun tieliikenteen suorat päästöt vuodelta 2019 on saatu ennakkotietoina VTT:ltä (Eckhardt 2020). Päästöt on arvioitu käyttäen VTT:n LIPASTO laskentamallin (lipasto.vtt.fi) LIISA-laskentajärjestelmää, johon on päivitetty IPCC:n Guidebook 2016 mukaiset päästökertoimet. Tieliikenteen päästölaskenta uusiutui vuonna 2015. Liikennevirasto on muuttanut suoritelaskennan perusteita vuoden 2017 laskentaan.

Satamat

Pääkaupunkisedulla on kolme ympäristöluvallista satamaa: Vuosaari, Eteläsatama (sis. Katajanokan sataman) ja Länsisatama (sis. Hernesaaren sataman). Vuonna 2018 satamien luokittelu muuttui ja aiemmissa vuosiraporteissa käytettiin erilaista satamaluokittelua. Trendikuvauksia varten saatiin vuonna 2018 Helsingin Satama Oy:ltä päästötiedot vuosilta 2012–2017 takautuvasti uudella luokittelulla.Vuosaaren satama on rahtisatama. Eteläsatama ja Länsisatama ovat matkustajasatamia. Satamien ympäristöluvissa velvoitetaan seuraamaan niiden toiminnan vaikutuksia ilmanlaatuun.

Helsingin Satama Oy:n tekemään satamatoiminnan päästöarvioon sisällytetään alusten päästöt Helsingin satamien laitureissa ja satamajärjestyksen mukaisilla vesiliikennealueilla. Mukana ovat alusten päästöjen lisäksi muun satamatoiminnan kuten työkoneiden, satamassa asioivien rekkojen sekä kuorma- ja henkilöautojen päästöt. Helsingin Satama Oy:n hallinnoimilla laitureilla ei ole niin sanottua pienveneilytoimintaa. Sen sijaan Helsingin Satama Oy:n laitureille kiinnittyvien jahtien päästöt on laskettu mukaan satamien päästöarvioihin.

Kansainvälisen merenkulkujärjestö IMO:n tiukennukset Itämerellä liikennöivien alusten polttoaineiden rikkipitoisuuksiin ovat parantaneet ilmanlaatua. Heinäkuussa 2010 astui voimaan alusten polttoaineen rikkipitoisuuden tiukennus 1,5 %:sta 1 %:iin koko Itämerellä ja alusten ollessa satamissa yli 2 tuntia, 0,1 %:iin. Satamien rikkidioksidipäästöt vähenivät selkeästi vuodesta 2009 vuoteen 2010. Vuoden 2015 tammikuussa 0,1 %:n pitoisuusraja laajennettiin koskemaan koko Itämerta. Muutos satamien päästöissä näkyy selkeästi kuvasta 15.4. Vuonna 2012 satamien yhteenlasketut rikkidioksidin päästöt olivat 155 tonnia ja vuonna 2019 päästöt olivat 38 tonnia (Helsingin Satama 2020). Mittaukset ovat osoittaneet ilmanlaadun parantuneen huomattavasti Itämeren satamien alueilla alusten polttoaineiden tiukempien rikkipitoisuusvaatimusten myötä (CE Delf, 2016). Vuonna 2012 hengitettävien hiukkasten päästöt olivat 24 tonnia ja vuonna 2019 päästöt olivat 7 tonnia. Satamien typenoksidien päästöt ovat vuodesta 2012 vähentyneet 193 tonnia. Hiilimonoksidin ja haihtuvien orgaanisten yhdisteiden (VOC) päästöt ovat hieman kasvaneet verrattuna vuoteen 2012. Pidemmällä aikavälillä satamien aluskäynnit ovat vähentyneet (kuva 15.5). (Helsingin Satama 2020)

Satamien osuus pääkaupunkiseudun vuoden 2019 typenoksidipäästöistä oli 11 % ja muista epäpuhtauksista 1–7 % (taulukko 15.1). Aluskäyntimäärät nousivat hieman edellisvuoteen verrattuna (kuva 15.5) (Helsingin Satama 2020).

Kuva 15.4. Satamakohtaiset päästöt vuosina 2012–2019. (VOC=HC)

Kuva 15.5. Helsingin satamien aluskäynnit vuosina 2003–2019. Laskuissa ei huomioida huvialuksia ja ei kaupallisia aluksia. Vuosina 2003–2018 aluskäyntitiedot on saatu aluspäiväkirjoista ja vuonna 2019 toiminnanohjausjärjestelmästä ja luvuissa on pieniä eroja.

Lentoliikenne

Lentoliikenteen päästöihin lasketaan mukaan lentokoneiden päästöt alle 915 metrin korkeudessa, eli LTO-syklin (Landing and Take Off Cycle) aikana ja Finavian oman maakaluston päästöt. LTO-syklin päästöt ulottuvat lentoonlähdöissä noin kuuden kilometrin etäisyydelle lentoasemasta ja laskeutumisissa noin 18 kilometrin etäisyydelle. Tästä johtuen kaikki LTO-syklin aikaiset päästöt eivät kohdistu pääkaupunkiseudulle. Paikalliseen ilmanlaatuun vaikuttavat kaikki alle 300 metrin korkeudessa tapahtuvat lentoliikenteen päästöt.

Lentoliikenteen päästöt vaihtelevat vuosittain johtuen liikennemäärien muutoksista ja lentoyhtiöiden lentokaluston muutoksista LTO-syklin osalta. Ominaispäästöt ja polttoaineen kulutus ovat erilaiset eri konetyypeillä. Maakaluston päästöjen määrän vaihteluun vaikuttavat myös talven sääolosuhteet.

Helsinki-Vantaan lentoasemalla lentoliikenteen päästöt muodostavat 95 % ja Finavian maakaluston päästöt enimmillään 5 % lentoasema-alueen päästöistä. Hiukkaspäästöt on raportoitu vain maakaluston osalta, eli lentokoneiden hiukkaspäästöjen tiedot puuttuvat. Lentoasema-alueella on myös muita toimijoita kuten maahuolintayhtiöt, joiden maakaluston toiminta aiheuttaa päästöjä. Sotilasilmailu sekä helikopterilennot tai purjelentokoneet eivät ole päästölaskelmissa mukana. (Finavia 2020)

Vuonna 2019 Helsinki-Vantaan lentoaseman lentokoneiden ja maakaluston yhteenlaskettu polttoaineen kulutus kasvoi edelliseen vuoteen verrattuna 5 %. Rikkidioksidin päästöt kasvoivat 17 %, typenoksidien päästöt 4 % ja hiilimonoksidin päästöt 4 %. Päästöt kasvoivat vuonna 2019 vähemmän kuin vuonna 2018. VOC-päästöt pysyivät edellisen vuoden tasolla. Maakaluston hiukkaspäästöt kasvoivat 12 % talven olosuhteista johtuen. Maakaluston hiilidioksidipäästöjä vähensi uusiutuvan dieselin käytön laajentaminen. Lentokoneiden nousujen ja laskeutumisten määrä pysyi melko samana edelliseen vuoteen verrattuna. (Finavia 2020)

Junaliikenne

Junaliikenteen suorat päästöt ovat pienet, koska liikennöinti pääkaupunkiseudulla tapahtuu suurimmaksi osaksi sähköjunilla. Välillisiä päästöjä muodostuu sähköntuotannosta, mutta ne sisältyvät osittain raportissa esitettyihin energiantuotannon päästöihin.

Työkoneet

Työkoneet ovat merkittävä ilmansaasteiden lähde. VTT arvioi koko Suomen työkoneiden päästöjä osana liikenteen pakokaasupäästöjen ja energiankulutuksen laskentajärjestelmää (LIPASTO). Viimeisin päivitys työkoneiden päästömalliin (TYKO 2015) tehtiin vuonna 2014, jolloin uudistettiin päästökertoimet. Kuntakohtaisiin työkoneiden päästöarvioihin liittyy toistaiseksi suuria epävarmuuksia, ja siksi niitä ei käsitellä tässä.

Puunpoltto tulisijoissa

Ilmaan vapautuu epäpuhtauksia myös pienistä päästölähteistä, joita ei säädellä ympäristölupamenettelyllä. Näitä ovat esimerkiksi talokohtainen lämmitys. Noin 80 prosentissa pääkaupunkiseudun pientaloista poltetaan puuta. Puuta käytetään pääasiassa lisälämmityksenä, saunan lämmittämisessä ja tunnelman luomisessa. Talokohtaiset puunkäyttömäärät ovat suhteellisen pieniä, mutta puun käytön suuri merkitys päästölähteenä johtuu pientalojen suuresta määrästä pääkaupunkiseudun tiiviillä asuinalueilla.

Puunpolton päästöarvio on tehty edellisen kerran vuodelle 2018. Sen mukaan puunpolton päästöt pääkaupunkiseudulla ovat 124 tonnia pienhiukkasia (PM2,5), 40 tonnia mustaa hiiltä (BC), 55 tonnia typenoksideja (NOx), 280 tonnia haihtuvia orgaanisia yhdisteitä (VOC), 2619 tonnia hiilimonoksidia (CO) ja 211 kilogrammaa bentso(a)pyreeniä (BaP) (Ohtonen ym. 2020). Puun pienpoltto aiheuttaakin merkittävän osan pääkaupunkiseudun hiukkasten, mustan hiilen, bentso(a)pyreenin, haihtuvien orgaanisten yhdisteiden ja hiilimonoksidin päästöistä. Puunpoltto tulisijoissa on suurin polttoperäisten hiukkaspäästöjen lähde pääkaupunkiseudulla. Esimerkiksi tulisijojen hiukkaspäästöt ovat suuremmat kuin autoliikenteen pakokaasujen hiukkaspäästöt pääkaupunkiseudulla.

Puunpoltto tulisijoissa aiheuttaa päästöjä, joilla on merkittäviä vaikutuksia ilmanlaatuun ja ihmisten terveydelle, koska päästöt purkautuvat matalalle asuinalueilla ja puuta poltetaan yleensä siihen aikaan, kun ihmiset ovat kotona.

Taustatietoa ilmansaasteista

Hiukkasmaiset ilmansaasteet

Ilmassa olevien hiukkasten koko ja kemiallinen koostumus vaihtelevat suuresti. Halkaisijaltaan alle 10 mikrometrin (µm=millimetrin tuhannesosa) kokoisia hiukkasia kutsutaan hengitettäviksi hiukkasiksi (PM10). Ne kulkeutuvat alempiin hengitysteihin eli henkitorveen ja keuhkoputkiin. Alle 2,5 mikrometrin kokoiset pienhiukkaset (PM2,5) tunkeutuvat keuhkorakkuloihin asti. Alle 0,1 mikrometrin suuruiset hiukkaset määritellään ultrapieniksi, ja ne saattavat tunkeutua keuhkorakkuloista verenkiertoon.

Pääkaupunkiseudun ulkoilmassa olevien hiukkasten paikallisia päästölähteitä ovat liikenne, puunpoltto ja energiantuotanto. Lisäksi seudulle kulkeutuu hiukkasia muualta Suomesta ja ulkomailta. Suurin osa kaupunki-ilman hengitettävistä hiukkasista on peräisin liikenteen nostattamasta katupölystä eli epäsuorista päästöistä. Katupöly nostaa erityisesti karkeiden hengitettävien hiukkasten pitoisuuksia. Kaukokulkeumalla puolestaan on suuri vaikutus pienhiukkasten pitoisuuksiin. Ultrapienten hiukkasten pitoisuudet ovat korkeimmillaan liikenneväylien välittömässä läheisyydessä, koska niitä on runsaasti pakokaasupäästöissä.

Kaasumaiset ilmansaasteet

Kaasumaisiin ilmansaasteisiin, joita HSY mittaa, lukeutuvat typenoksidit (NOx), rikkidioksidi (SO2) ja otsoni (O3). Typenoksidien pääasialliset lähteet ovat teollisuuden ja liikenteen päästöt. Rikkidioksidipäästöjä syntyy nykyään pääasiassa teollisuudesta ja laivaliikenteestä. Viime vuosikymmeninä rikkidioksidipäästöt ovat vähentyneet huomattavasti, kun ajoneuvojen ja laivojen käyttämä polttoaine on kehittynyt ja rikinpoistolaitteet on otettu teollisuudessa ja energiantuotannossa käyttöön. Edellä mainituista ilmansaasteista poiketen otsonia ei ole päästöissä, vaan sitä muodostuu ilmassa auringonsäteilyn reagoidessa happimolekyylien kanssa. Kaukokulkeutuminen muualta Euroopasta kohottaa Suomen otsonipitoisuuksia selvästi.

Ilmansaasteiden vuodenaikais-, viikonpäivä- ja vuorokausivaihtelu

Ilmansaasteiden pitoisuudet vaihtelevat vuodenajan mukaan. Keväällä esiintyy usein epäpuhtauksien sekoittumisen ja laimenemisen kannalta epäsuotuisia säätilanteita, jotka heikentävät ilmanlaatua. Keväällä lumen sulaessa ja katujen kuivuessa liikenne ja tuuli nostattavat ilmaan, asfaltin kulumisessa irronnutta ainesta, kaduilla jauhautunutta hiekoitussepeliä sekä renkaista ja jarruista kulunutta materiaalia, mikä vuoksi hiukkaspitoisuudet saattavat paikoin ylittää ohjearvot erityisesti keväisin. Hiukkaspitoisuudet saattavat kohota myös syksyisin, kun nastarenkaat otetaan käyttöön ja talvihiekoitus aloitetaan.

Kesällä lämmöntuotanto ja erityisesti heinäkuussa liikennemäärät on alimmillaan, ja myös ilmansaasteiden sekoittuminen ja laimeneminen on tehokkainta. Kesällä ilmanlaatu onkin muihin vuodenaikoihin verrattuna parempi. Otsonin pitoisuudet ovat kuitenkin korkeimmillaan keväällä ja kesällä, koska otsonia muodostuu ilmakehän valokemiallisissa reaktioissa. Keväällä ja kesällä otsonille annetut terveys- ja kasvillisuusvaikutusten perusteella annetut tavoitearvot voivat ylittyä. Ilmakemiallisten reaktioiden voimistuminen kesäisin lyhentää joidenkin ilmansaasteiden, esimerkiksi bentseenin, elinikää.

Syksyllä sateet ja tuulet pitävät ilmanlaadun usein melko hyvänä. Talvella taas päästöt ovat suurimmillaan ja sekoitus- ja laimenemisolosuhteet ovat heikoimmat. Suorien päästöjen aiheuttamat pitoisuudet ovat korkeimmillaan talvisin. Pitoisuudet saattavat kohota huomattavasti myös talven heikkotuulisissa sää- ja inversiotilanteissa. Typpidioksidin ohjearvot ylittyvät yleisimmin talvisin. Puunpoltosta peräisin olevien pienhiukkasten ja PAH-yhdisteiden pitoisuudet ovat yleensä korkeita talvella. Asuintilojen tulisijojen käyttö keskittyykin vuodenajallisesti joulu-, tammi- ja helmikuulle, kesällä asuintilojen tulisijojen käyttö on vähäisempää (Ohtonen ym. 2020).

Saastepitoisuudet ovat korkeimmillaan aamuruuhkan aikaan, keskipäivällä saastepitoisuudet laskevat ja iltaruuhkan aikaan ne kohoavat uudelleen. Iltapäivän paluuliikenne kestää aamuruuhkaa pidempään, eivätkä pitoisuudet siksi nouse niin korkeiksi kuin aamulla. Aamulla ja illalla tuulen tyyntyminen tai inversion muodostuminen nostavat usein pitoisuuksia. Liikennemäärät vaihtelevat viikonpäivän mukaan ja vaihtelut näkyvät ilmanlaadussa. Liikenneperäiset saastepitoisuudet ovat korkeita arkipäivinä ja matalia viikonloppuisin. Otsonipitoisuudet käyttäytyvät muihin epäpuhtauksiin verrattuna käänteisesti kaupunkiseuduilla, koska muut epäpuhtaudet reagoivat otsonin kanssa kuluttaen sitä. Otsonipitoisuudet ovat matalimpia vilkasliikenteisillä alueilla aamuruuhkan aikaan ja korkeimpia puhtailla tausta-alueilla iltapäivällä ja alkuillasta.

Puunpolton aiheuttamat ilmansaastepitoisuudet ovat yleensä korkeimmat iltaisin, kun tulisijoja käytetään eniten. Puulämmitteinen saunan kiuas lämpenee useimmiten lauantaisin ja varaavaa takkaa tai muuta tulisijaa poltetaan varsin tasaisesti maanantaista torstaille (Ohtonen ym. 2020). Tulisijojen käyttö painottuu illalle ja varsinkin lauantaisin niitä käytetään enemmän.

Episoditilanteet

Episodilla tarkoitetaan tilannetta, jossa ilmansaasteiden pitoisuudet kohoavat normaalia huomattavasti korkeammiksi useiden tuntien tai vuorokausien ajaksi. Episoditilanne voi syntyä:

  1. säätilanteessa, joka heikentää saasteiden sekoittumista, laimenemista ja poistumista hengitysilmasta
  2. kaukokulkeuman vaikutuksesta
  3. poikkeuksellisissa päästötilanteissa

Episoditilanteita aiheuttavat tyypillisesti katupöly kuivina kevätpäivinä, paikalliset päästöt, kuten pakokaasujen typenoksidipäästöt ja puunpolton päästöt inversiotilanteissa sekä pienhiukkasten ja otsonin kaukokulkeumat keväällä ja kesällä. Joskus erilaiset episoditilanteet saattavat osua samaan aikaan. Joinakin kevätpäivinä ilmassa voi olla runsaasti paikallisen liikenteen aiheuttamaa katupölyä ja pakokaasuja sekä kaukokulkeutuneita pienhiukkasia ja otsonia. Suomeen kulkeutuukin runsaasti otsonia muualta Euroopasta.

Terveysvaikutukset

Ulkoilman hiukkasia pidetään länsimaissa kaikkein haitallisimpana ympäristötekijänä ihmisten terveydelle. Ilmansaasteet ovat Suomessa edelleen merkittävä ympäristöterveysriski, vaikka pitoisuudet ovat kansainvälisten ilmanlaadun ohje- ja raja-arvojen alapuolella. Pitkäaikainen, vuosia tai vuosikymmeniä kestänyt altistuminen on lyhytaikaista altistumista haitallisempaa. Pitkäaikainen altistuminen voi lisätä ja pahentaa kroonisia sydän-, verisuoni- ja hengityssairauksia ja siksi lyhentää elinikää. Esimerkiksi asuminen vilkasliikenteisen tien välittömässä läheisyydessä voi lisätä selvästi altistumista ja johtaa ääritapauksissa hengityselin- ja sydänsairauden kehittymiseen sekä eliniän lyhenemiseen.

Suomessa ilmansaasteiden pitoisuudet ovat yleensä kohtalaisen matalia eivätkä ne aiheuta useammille suurempia terveyshaittoja. Terveyshaittojen kannalta merkittävimpiä ilmansaasteita ovat liikenteestä, puunpoltosta ja muista epätäydellisen palamisen lähteistä peräisin olevat pienhiukkaset, koska erityisesti polttoperäiset pienhiukkaset aiheuttavat terveyshaittoja hyvin pienissä pitoisuuksissa. Pienet hiukkaset ovat terveydelle haitallisempia kuin suuret, koska ne pystyvät tunkeutumaan syvälle hengitysteihin. Pienhiukkaset lisäävät lasten hengitystieoireita ja -infektioita. Pienhiukkaset aiheuttavat sekä pahentavat kroonisia sydän-, verisuoni- ja hengityssairauksia. Pienhiukkaset voivat myös aiheuttaa astma- ja sydänkohtauksia ja aivohalvauksia sekä lisätä ennenaikaisia kuolemia. Pienhiukkasten arvioidaan aiheuttavan Suomessa 1600 ennenaikaista kuolemantapausta vuodessa (Hänninen ym. 2016).

Yksilöiden herkkyys ilmansaasteille vaihtelee. Herkkiä väestöryhmiä ovat kaikenikäiset astmaatikot, ikääntyneet sepelvaltimotautia ja keuhkoahtaumatautia sairastavat sekä lapset. Talvisin pakkanen voi pahentaa ilmansaasteista aiheutuvia oireita. Ulkoilman pienhiukkaset ja jotkut niissä yleisesti olevat kemialliset aineet on luokiteltu Maailman terveysjärjestö WHO:n arvioissa myös syöpävaarallisiksi. Myös monet PAH-yhdisteet kuten bentso(a)pyreeni lisäävät syöpäriskiä.

Hengitettävät hiukkaset (PM10) ovat suurimmaksi osaksi liikenteen nostattamaa katupölyä ja yleensä vain pieneltä osin pienhiukkasia. Katupöly aiheuttaa monelle ärsytysoireita, kuten nuhaa, yskää sekä kurkun ja silmien ärsytysoireita. Katupöly pahentaa erityisesti hengityssairaiden oireita ja lisää sairaalahoitoa vaativia astma- ja keuhkoahtaumakohtauksia.

Typenoksideista eniten terveyshaittoja aiheuttaa typpidioksidi, joka tunkeutuu syvälle hengitysteihin. Se lisää hengityselinoireita erityisesti lapsilla ja astmaatikoilla sekä korkeina pitoisuuksina supistaa keuhkoputkia. Osa typpidioksidin terveyshaitoista aiheutuu todennäköisesti yhteisvaikutuksista liikenteen pakokaasuista peräisin olevien muiden hiukkas- ja kaasumaisten aineiden kanssa. Typpidioksidi voi lisätä hengitysteiden herkkyyttä muille ärsykkeille, kuten kylmälle ilmalle ja siitepölyille.

Rikkidioksidi ärsyttää korkeina pitoisuuksina hengitysteitä. Se lisää lasten ja aikuisten hengitystieinfektioita sekä astmaatikkojen oireilua. Astmaatikot ovat selvästi muita herkempiä rikkidioksidin vaikutuksille. Erityisesti pakkanen voi pahentaa rikkidioksidin aiheuttamia oireita. Joillakin teollisuuspaikkakunnilla Suomessa voidaan edelleen mitata hengityselinten terveyden kannalta merkittäviä lyhytaikaisia pitoisuuksia.

Otsoni on ärsyttävä kaasu, joka voi aiheuttaa silmien, nenän ja kurkun limakalvojen ärsytystä. Hengityssairailla yskä ja hengenahdistus voivat lisääntyä ja keuhkojen toimintakyky heikentyä. Kohonneisiin otsonipitoisuuksiin voi myös liittyä lisääntynyttä kuolleisuutta ja sairaalahoitoja. Otsoni voi pahentaa siitepölyjen aiheuttamia allergiaoireita.

Musta hiili (BC) eli noki ei itsessään ei ole erityisen haitallista. Polttoprosesseissa vapautuvaan hiileen on kuitenkin aina sitoutuneena terveydelle haitallisia metalleja ja orgaanisia yhdisteitä, kuten PAH-yhdisteitä.

Lue lisää: Ilmansaasteiden terveyshaitat

Luontovaikutukset

Ilmansaasteet happamoittavat ja rehevöittävät vesistöjä. Lisäksi ilmansaasteet vahingoittavat kasveja sekä suoraan lehtien ja neulasten kautta että juuriston vaurioitumisen myötä. Vaikutukset näkyvät selvästi useiden kaupunkien ja teollisuuslaitosten ympäristöissä puiden neulasvaurioina sekä puiden rungolla kasvavien jäkälien vähentymisenä ja vaurioitumisena. Jäkäliä voidaankin käyttää niin kutsuttuna bioindikaattoreina selvitettäessä ilmansaasteiden vaikutusalueen laajuutta.

Normit ja raja-arvot

Raja-arvot määrittelevät suurimmat hyväksyttävät terveysperusteiset ilman epäpuhtauksien pitoisuudet. Jos raja-arvo ylittyy, kunnan on laadittava ja pantava toimeen ilmansuojelusuunnitelmia raja-arvon alittamiseksi. Kansalliset ohjearvot määrittelevät ilmanlaadulle asetetut tavoitteet, ja ne on tarkoitettu ensisijaisesti ohjeiksi suunnittelijoille ja viranomaisille. Maailman terveysjärjestö WHO on myös antanut terveysperusteisia ohjearvoja ilmansaasteiden pitoisuuksille. Kynnysarvot määrittelevät tason, jonka ylittyessä on tiedotettava tai varotettava kohonneista ilmansaasteiden pitoisuuksista. Tavoitearvoilla tarkoitetaan pitoisuutta tai kuormitusta, joka on mahdollisuuksien mukaan alitettava annetussa määräajassa tai pitkän ajan kuluessa. Kriittinen taso ilmaisee pitoisuuden, jonka ylittyminen voi aiheuttaa suoria haitallisia vaikutuksia kasvillisuudessa ja ekosysteemeissä.

Raja-arvot
Typpidioksidin vuosiraja-arvo ylittyy edelleen paikoin Helsingin vilkasliikenteisissä katukuiluissa. Hengitettävien hiukkasten raja-arvo ei ole ylittynyt Helsingissä vuoden 2006 jälkeen. Raja-arvot eivät yleensä muualla Suomessa ylity, mutta silmälläpidettäviä alueita ovat suurimpien kaupunkien ydinkeskustat ja vilkasliikenteiset korkeiden rakennusten reunustamat katuosuudet eli katukuilut. Hengitettävien hiukkasten raja-arvot voivat olla vaarassa ylittyä myös rakennustyömaiden lähialueilla. (taulukko 16.1)
Ohjearvot
Typpidioksidin kansalliset ohjearvot ylittyvät Suomessa yleensä talvisin ja muulloin satunnaisesti suurimpien kaupunkien keskustoissa. Hiukkaspitoisuudet saattavat ylittää ohjearvon etenkin katupölyaikaan keväisin vilkkaiden teiden ja katujen varsilla sekä työmaiden lähellä. Rikkidioksidipitoisuuksien ohjearvot saattavat vielä ylittyä joillakin teollisuuspaikkakunnilla. Myös WHO hiukkasille asettamat vuorokausiohjearvot voivat paikoin ylittyä. (taulukko 16.2 ja 16.5)
Kynnysarvot
Otsonin tiedotuskynnys saattaa ylittyä keväällä tai kesällä, mutta harvoin. (taulukko 16.3)
Tavoitearvot
Otsonipitoisuuksille terveysvaikutusten perusteella annettu pitkän ajan tavoite ylittyy Suomessa, etenkin taajamien ulkopuolella. Kasvillisuusvaikutusten perusteella annettu pitkän aikavälin tavoite ylittyy ajoittain pääkaupunkiseudulla. Bentso(a)pyreenin pitoisuudet voivat ylittää tavoitearvon paikoitellen pientaloalueilla. (taulukko 16.4)

Yhdiste
Aika
Raja-arvo µg/m3
Sallitut ylitykset
Saavutettava viimeistään
Asettaja
Hengitettävät hiukkaset PM10
​vuosi
​40
​-
​voimassa
VN asetus 79/2017
vrk
50
35 vrk/vuosi
voimassa
VN asetus 79/2017
​Pienhiukkaset PM2.5
​vuosi
​25
​-
​1.1.2015
VN asetus 79/2017
​Typpidioksidi NO2
​vuosi
​40
​-
​voimassa
VN asetus 79/2017
tunti
200
18 h/vuosi
voimassa
VN asetus 79/2017
​Rikkidioksidi SO2
​vrk
​125
​3 vrk/vuosi
​voimassa
VN asetus 79/2017
tunti
350
24 h/vuosi
voimassa
VN asetus 79/2017
Hiilimonoksidi CO
​8 tuntia
​10 (mg/m3)
​-
​voimassa
VN asetus 79/2017
​Bentseeni C6H6
​vuosi
​5
​-
voimassa​
VN asetus 79/2017
Lyijy Pb
​vuosi
​0,5
​-
​voimassa
VN asetus 79/2017
Yhdiste
Aika​
Ohjearvo µg/m3
Tilastollinen määrittely
Asettaja
​​Hengitettävät hiukkaset PM10
​vrk
​70
​kuukauden toiseksi suurin vrk-arvo
VN päätös 480/1996
Kokonaisleijuma TSP
​vuosi
​50
​vuosikeskiarvo
VN päätös 480/1996
​vrk
​120
​vuoden vuorokausiarvojen 98. prosenttipiste
VN päätös 480/1996
Typpidioksidi NO2
​vrk
​70
​kuukauden toiseksi suurin vrk-arvo
VN päätös 480/1996
​tunti
​150
​kuukauden tuntiarvojen 99. prosenttipiste
VN päätös 480/1996
Rikkidioksidi SO2
​vrk
​80
​kuukauden toiseksi suurin vrk-arvo
VN päätös 480/1996
​tunti
​250
​kuukauden tuntiarvojen 99. prosenttipiste
VN päätös 480/1996
Hiilimonoksidi CO
​8 tuntia
​8 mg/m3
​liukuva keskiarvo
VN päätös 480/1996
​tunti
​20 mg/m3
​tuntikeskiarvo
VN päätös 480/1996
Haisevat rikkiyhdisteet TRS
​vrk
​10
​kuukauden toiseksi suurin vrk-arvo, TRS ilmoitetaan rikkinä
VN päätös 480/1996
Yhdiste
Aika​
Tiedotuskynnys µg/m3
Varoituskynnys µg/m3
Asettaja
​Otsoni O3
tunti​
​180
​240
VN asetus 79/2017
Rikkidioksidi SO2
​kolme peräkkäistä tuntia
​-
​500
VN asetus 79/2017
Typpidioksidi NO2
​kolme peräkkäistä tuntia
​-
​400
VN asetus 79/2017
Yhdiste
Aika
Tavoitearvo ja sen saavuttamisaika
​Pitkän ajan tavoite
Asettaja
Terveyden suojeleminen
​Otsoni O3
​8 tunnin liukuva keskiarvo
​120 µq/m3 1.1.2010 alkaen; ylityksiä sallittu 25/vuosi kolmen vuoden keskiarvona
​120 µq/m3, ei ylityksiä
VN asetus 79/2017
​Arseeni As
​vuosi
​6 ng/m3, 1.1.2013 alkaen
​-
VN asetus 113/2017
​Kadmium Cd
​vuosi
​5 ng/m3, 1.1.2013 alkaen
​-
VN asetus 113/2017
​Nikkeli Ni
​vuosi
​20 ng/m3, 1.1.2013 alkaen
​-
VN asetus 113/2017
​Bentso(a)pyreeni
​vuosi
​1 ng/m3, 1.1.2013 alkaen
​-
VN asetus 113/2017
Kasvillisuuden suojeleminen​ ​ ​ ​
​Otsoni O3
​kesä*
​18 000 ng/m3, 1.1.2010 alkaen viiden vuoden keskiarvona
​-
VN asetus 79/2017
Yhdiste
Aika
Ohjearvo µg/m³
Tilastollinen määrittely
Asettaja
Hengitettävät hiukkaset PM10
vrk
50
3 ylitystä sallitaan vuodessa
WHO 2006
vuosi
20
WHO 2006
Pienhiukkaset PM2,5
vrk
25
3 ylitystä sallitaan vuodessa
WHO 2006
vuosi
10
undefined
WHO 2006

Lähdeluettelo

Aho, A. & L. Salo (2019). Espoon kaupunkitekniikan keskus. Kirjallinen tiedonanto 4.6.2019.

Auranen, J. & K. Kähäri (2019). Launeen alueen PAH-pitoisuudet alkuvuonna 2018 ja avaimet parempaan ilmanlaatuun. Lahden kaupunki, kaupunkiympäristön palvelualue.

CE Delft (2016). SECA Assessment: Impacts of 2015 SECA marine fuel Sulphur limits (PDF). April 2016. https://www.cedelft.eu/en/publications/download/2065

dal Maso, M., Hyvärinen, A., Komppula, M., Tunved, P., Kerminen, V-M., Lihavainen, H., Viisanen, Y., Hansson, H-C & M. Kulmala (2008). Annual and interannual variation in boreal forest aerosol particle number and volume concentration and their connection to particle formation Tellus 60B, 4, 495-508.

Ellermann, T., Nygaard, J., Nøjgaard, J.K., Nordstrøm, C., Brandt, J., Christensen, J., Ketzel, M., Massling, A., Bossi, R. & S.S Jensen (2017). The Danish Air Quality Monitoring Programme. Annual Summary for 2016. Scientific Report from DCE – Danish Centre for Environment and Energy No. 234.

Finavia (2020). Ilmailulaitos Finavia. Helsinki-Vantaa lentoaseman päästötiedot 2019. Kirjallinen tiedonanto, Johanna Kara, 11.3.2020.

Fortum Espoo (2020). Päästötiedot vuodelta 2019. Kirjallinen tiedonanto, Heikki Aaltonen, 11.3.2020.

Helen Oy (2020). Päästötiedot vuodelta 2019. Kirjallinen tiedonanto, Anna Häyrinen, 11.3.2020.

Helsingin satama (2020). Päästötiedot vuodelta 2019. Kirjallinen tiedonanto, Anton Airas, 12.3.2020.

Helsingin yliopisto (2020). Kirjallinen tiedonanto, Pasi Aalto, 12.3.2020.

Hyvärinen, A-P., Kolmonen, P., Kerminen, V-M., Virkkula, A., Leskinen, A., Komppula, M., Hatakka, J., Burkhart, J., Stohl, A., Aalto, P., Kulmala, M., Lehtinen, K.E.J., Viisanen, Y. & H. Lihavainen (2011). Aerosol black carbon at five background measurement sites over Finland, a gateway to the Arctic. Atmospheric Environment 45: 4042-4050.

Hämäläinen, J. (2019). Maankäytön, rakentamisen ja ympäristön toimiala, Vantaa. Kirjallinen tiedonanto 4.6.2019.

Ilmatieteen laitos a (2020). Vuosi 2019 oli lähes asteen tavanomaista lämpimämpi. https://ilmatieteenlaitos.fi/tiedote/1225384314. Viitattu 13.1.2020.

Ilmatieteenlaitos b (2020). Föhn-tuuli lämmitti helmikuussa. https://ilmatieteenlaitos.fi/tiedote/897555582. Viitattu 14.1.2020.

Ilmatieteen laitos c (2020). Kuukausitilastot 2019. https://ilmatieteenlaitos.fi/kuukausitilastot. Viitattu 13.1.2020.

Ilmatieteen laitos d (202). Kasvukausi 2019. https://ilmatieteenlaitos.fi/kasvukausi-2019. Viitattu 14.1.2020.

Ilmatieteen laitos e (2020). Kuukausitilastot 2019 havaintojen latauspalvelusta. Haettu 13.1.2020.

Kulovuori, S., Ritola, R., Stojiljkovic, A., Kupiainen, K & A. Malinen (2019). Katupölyn lähteet, päästövähennyskeinot ja ilmanlaatuvaikutukset – Tuloksia KALPA-tutkimushankkeesta 2015–2018. HSY:n julkaisuja 1/2019.

Kupiainen, K., Pirjola, L., Ritola, R., Stojiljkovic, A. & A. Malinen a (2013). Talvirenkaiden pölypäästöt ja eri katupölylahteiden osuudet kadun varrella kerätyissä hiukkasnäytteissä. HSY:n julkaisuja 3/2013.

Kupiainen, K. & R. Ritola b (2013). Nastarengas ja hengitettävä pöly. Helsingin kaupungin ympäristökeskuksen julkaisuja 6/2013.

Kupiainen, K., Stojiljkovic, A., Ritola, R., Niemi, J. & A. Kousa (2015). Liikenteen ei-pakokaasu-peräisten hiukkasten päästöinventaario pääkaupunkiseudulle. HSY:n julkaisuja 5/2015.

Kuula, J. (2019). Hiukkassensorit ilmanlaadun seurannassa. Ilmansuojelu 2/2019.

Kuula, J., Kuuluvainen, H., Niemi, J.V., Saukko, E., Portin, H., Kousa, A., Aurela, M., Rönkkö, T. & H. Timonen (2019). Long-term sensor measurements of ultrafine particulate matter emitted from local vehicular and residential wood combustion sources. Aerosol Science and Technology, 54:2, 190-202.

Lehtonen, J. (2019). Helsingin kaupungin katujen kunnossapito, Stara. Kirjallinen tiedonanto 3.6.2019.

Luoma, K., Niemi, J. V., Helin, A., Aurela, M., Timonen, H., Virkkula, A., Rönkkö, T., Kousa, A., Fung, P. L., Hussein, T. & T. Petäjä (2020). Spatiotemporal variation and trends of equivalent black carbon in the Helsinki metropolitan area in Finland. Atmospheric Chemistry and Physics Discussion, in review, https://doi.org/10.5194/acp-2020-201

Ohtonen, K., Kaski, N. & J. Niemi (2020). Tulisijojen käyttö ja päästöt pääkaupunkiseudulla vuonna 2018. HSY:n julkaisuja 1/2020.

SLB (2020). Luften I Stockholm. Årsrapport 2019. SLB 2:2020.

Stojiljkovic, A., Kupiainen, K., Niemi, J., Kousa, A., Pirjola, L., Ritola, R. & A. Malinen (2016). Modelling street dust in the Helsinki metropolitan area. HSY:n julkaisuja 10/2016.

Vantaan Energia (2020). Päästötiedot vuodelta 2019. Kirjallinen tiedonanto, Hannu Laine 17.2.2020.

VN asetus 79/2017. Valtioneuvoston asetus ilmanlaadusta 79/2017.

VN asetus 113/2017. Valtioneuvoston asetus ilmassa olevasta arseenista, kadmiumista, elohopeasta, nikkelistä ja polysyklisistä aromaattisista hiilivedyistä 113/2017.

VN päätös 480/1996. Valtioneuvoston päätös ilmanlaadun ohjearvoista ja rikkilaskeuman tavoitearvosta 480/1996.

Väylävirasto (2020). Liikennemääräkartat koko maa vuosilta 2012–2019. https://julkinen.vayla.fi/webgis-sovellukset/webgis/template.html?config=liikenne

WHO (2006). Air quality guidelines: Global update — Particulate matter, ozone, nitrogen dioxide and sulphur dioxide, World Health Organization, Regional Office for Europe, Copenhagen, 2005:12. https://apps.who.int/iris/handle/10665/69477.

Liitteet

Alla olevasta linkistä pääset tarkastelemaan liiteosiota, johon on koottu tietoa mittaustuloksista ja mittauksista.

Ilmanlaatu pääkaupunkiseudulla vuonna 2019 liiteosio

Sisällysluettelo

1 Ilmanlaatu indeksillä arvioituna

2 Pitoisuudet raja-arvoihin verrattuina

3 Pitoisuudet tavoitearvoihin verrattuina

4 Pitoisuudet ohjearvoihin verrattuina

5 Pitoisuuksien vuosikeskiarvot

6 Vuosipitoisuuksien kehittyminen

7 Vuodenaikaisvaihtelu (kuukausikeskiarvot)

8 Vuorokausivaihtelu epäpuhtauksittain

9 Vuorokausivaihtelu asemittain

10 Pitoisuusruusut siirrettävillä asemilla

10.1 Länsisatama

10.2 Pirkkola

10.3 Friisilä

10.4 Talvikkitie

10.5 SO2-tuntipitoisuudet tuulen suunnan mukaan

11 NO2-pitoisuudet keräinmenetelmällä

11.1 Kuvaukset mittauspisteistä

11.2 NO2-vuosipitoisuuksien kehittyminen

11.3 NO2-keräinten sijainnit kartoilla

12 Säätila

13 Pitoisuudet vuonna 2019

13.1 Hengitettävät hiukkaset, PM10

13.2 Pienhiukkaset, PM2,5

13.3 Typpidioksidi, NO2

13.4 Typpimonoksidi, NO

13.5 Otsoni, O3

13.6 Rikkidioksidi, SO2

13.7 Musta hiili, BC

13.8 Hiukkasten keuhkodeposoituva pinta-ala, LDSA

13.8.1 Hiukkasten keuhkodeposoituva pinta-ala vuonna 2018, LDSA 2018

13.9 Hiukkasten lukumäärä

13.10 Bentso(a)pyreeni, B(a)P

13.11 Haihtuvat orgaaniset yhdisteet VOC

13.12 Typpidioksidi, NO2 (keräinmenetelmällä)

14 Mittausverkon toiminta 2019

15 Mittausasemat 2019

15.1 Mannerheimintie (Man)

15.2 Mäkelänkatu (Mäk)

15.3 Kallio (Kal)

15.4 Vartiokylä (Var)

15.5 Leppävaara (Lep)

15.6 Tikkurila (Tik)

15.7 Luukki (Luu)

15.8 Länsisatama (L-sat)

15.9 Pirkkola (Pir)

15.10 Länsiväylä Friisilä (Fri)

15.11 Tikkurila, Talvikkitie (Tal)

15.12 Paloheinä (Pal)

15.13 Hiekkaharju (Hie)

15.14 Laaksolahti (Laa)

15.15 Rekola 2 (Rek)

15.16 Kaivoksela (Kai)

16 Liikennemäärät päätieverkoilla syksyllä 2018

17 Päästöt kunnittain vuonna 2019

18 Tieliikenteen päästöt

19 Energiantuotannon päästöt

20 Lyhenteitä ja määritelmiä

21 Liitteen lähdeluettelo